
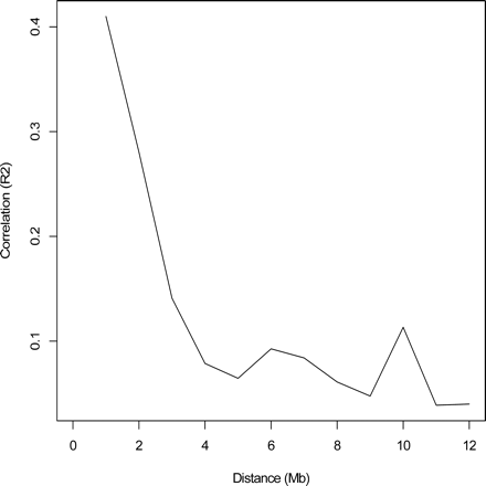
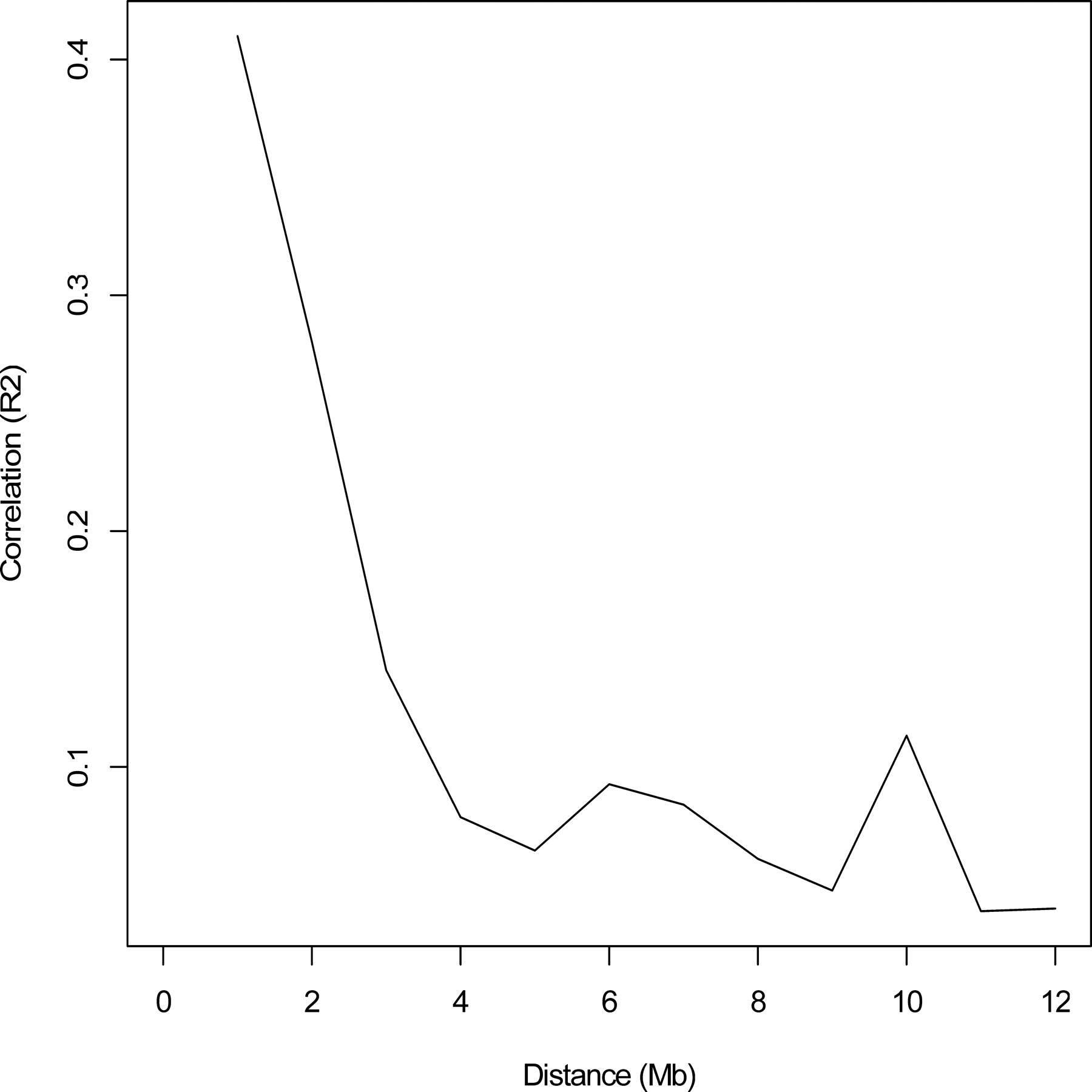
Figure 1.
Linkage disequilibrium decay in the NIH-HS rats. The figure plots the decay in mean r2 (R2) on the vertical axis with distance (megabases) on the horizontal axis. The data are from 110 SNP markers on chromosomes 5 and 15.











