
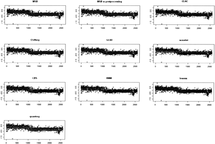
Figure 6.
Output of MSB and eight other methods to an array-CGH data set of chromosome 2 in a NSCLC adenocarcinoma case. This profile contains a wide amplification region and a short deletion segment. MSB and CGHseg clearly identified these regions. A straightforward post-processing refined the MSB results.











