
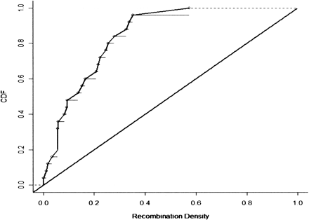
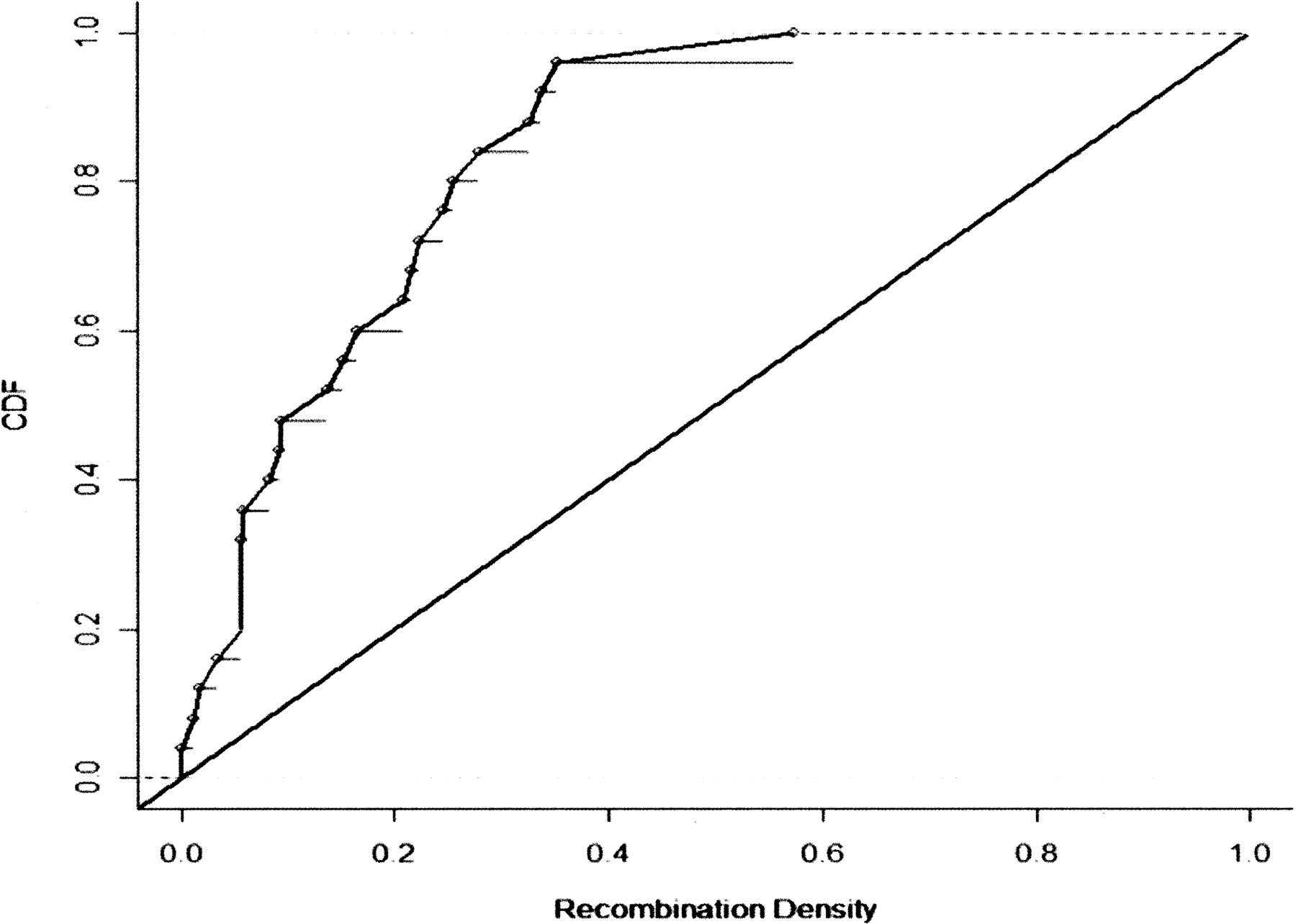
Figure 3.
Cumulative distribution functions of the uniform distribution (diagonal line) and of the values in the final column of Table 1. The Kolmogorov-Smirnov statistic D is the maximum vertical distance between the two. Here, D = 0.61 which gives P = 1.9 × 10−8.











