
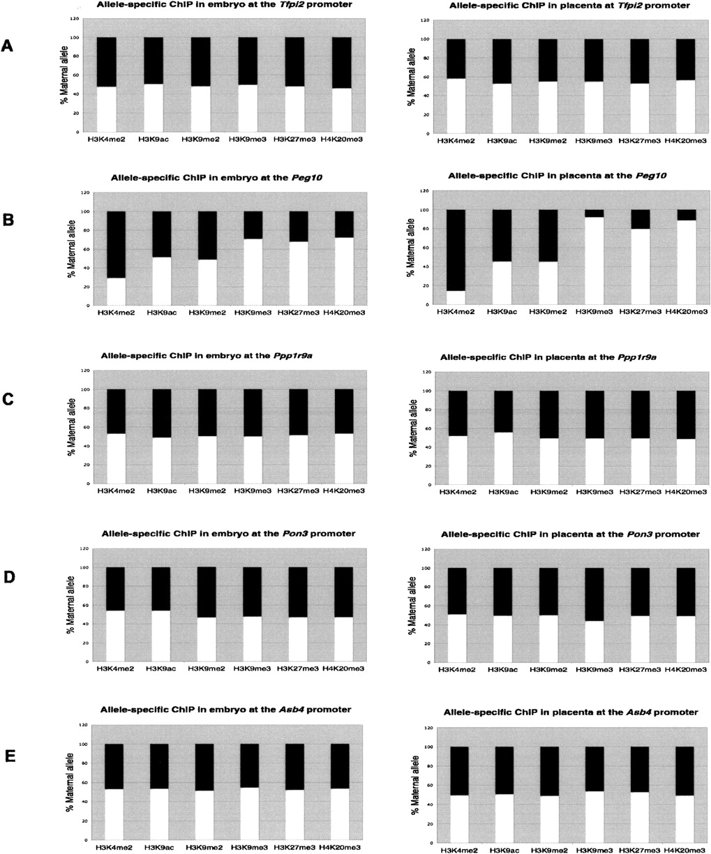
Allelic histone modifications at different promoter sites in mouse embryo and placenta. Allele-specific chromatin composition was quantitated using polymorphisms at specific promoter region, in both embryo and placenta. ChIP was performed using antibodies recognizing the specific modification H3K4me2, H3K9ac, H3K9me2, H3K9me3, H3K27me3, and H4K20me3. Polymorphisms and primer locations are given in Supplemental Table 5. The ratio of the allele-specific histone modification at a specific promoter region was expressed as a percentage of maternal (white bars) or paternal (black bars) allele in the total (maternal + paternal, or 100%) immunoprecipitation. ChIP was performed at the Tfpi2 promoter (A), Peg10 DMR (B), Ppp1r9a promoter (C), Pon3 promoter (D), and the Asb4 promoter (E).











