
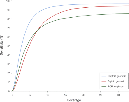
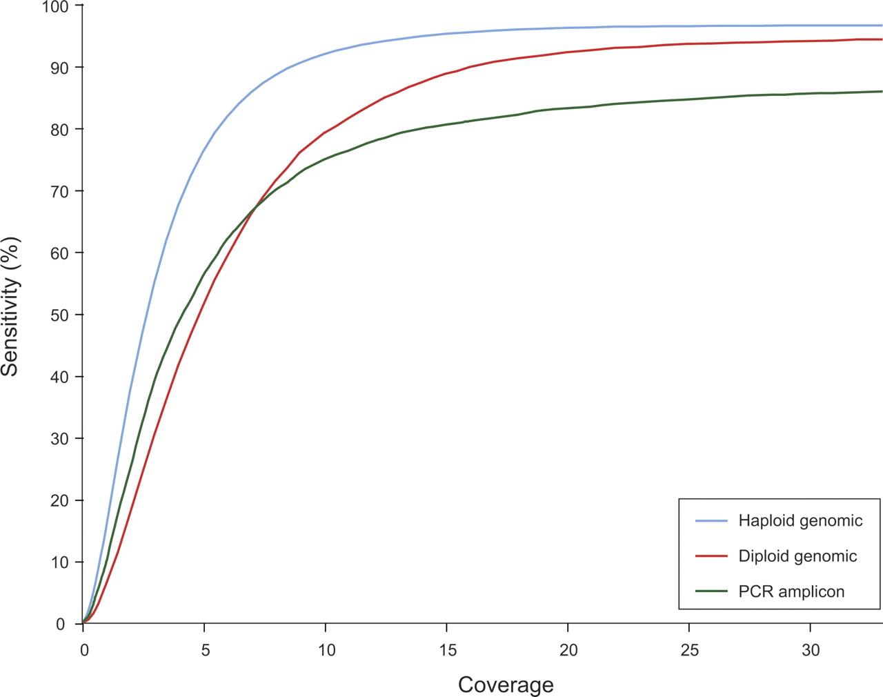
Sensitivity of SNP calling as a function of coverage. Coverage is counted by bases accepted for SNP calling. At all coverages, the fraction of the reference that could be correctly called in haploid DNA (a BAC) exceeds the sensitivity for heterozygous SNPs that can be called in diploid DNA (a mixture of two different, overlapping BACs). Sensitivity is generally lower for heterozygous SNPs in PCR amplicons, due to pooling variation. No false positives were found at any coverage level in genomic data: ∼545 kb haploid, ∼220 kb diploid. For PCR amplicons approximately one false positive was found in ∼27 kb.











