
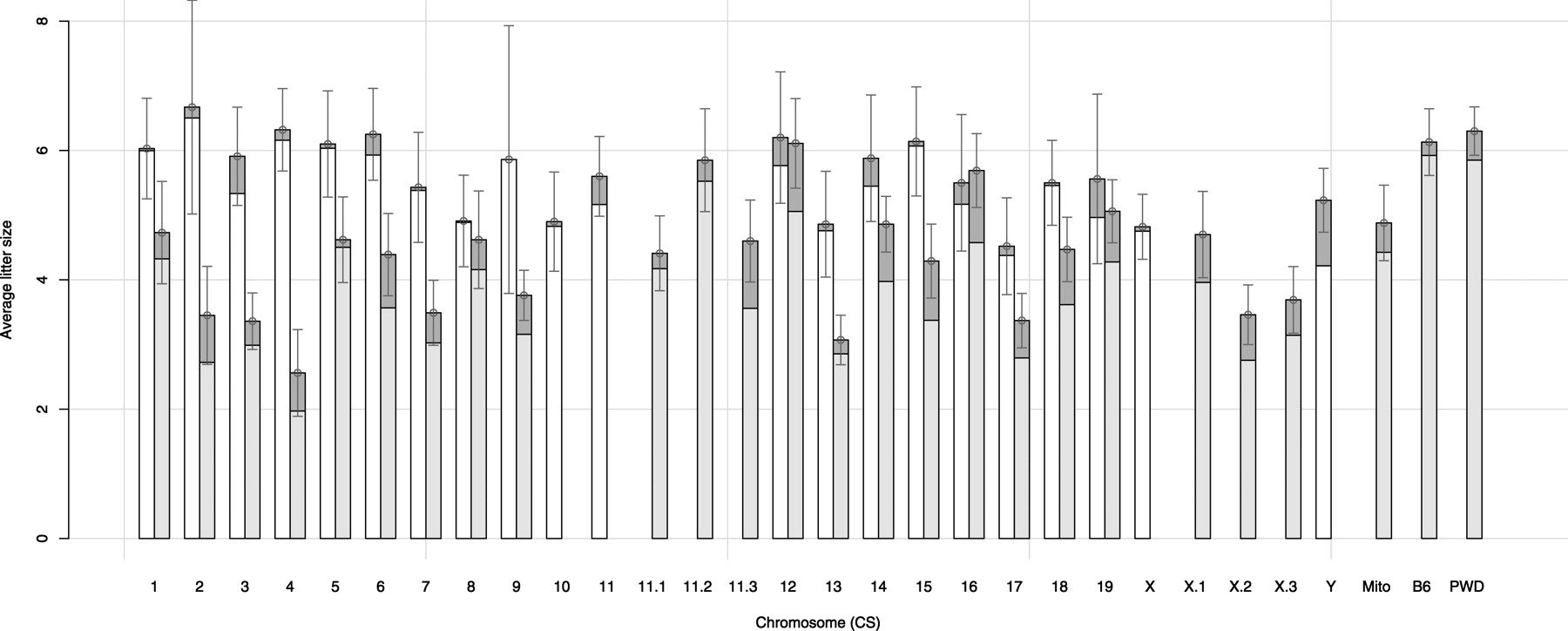
Figure 2.
Reproductive performance of mice heterosomic (white columns) or homosomic (gray columns) for PWD introgressed chromosome. The offspring lost before weaning are shown in dark gray on the top of each column.











