
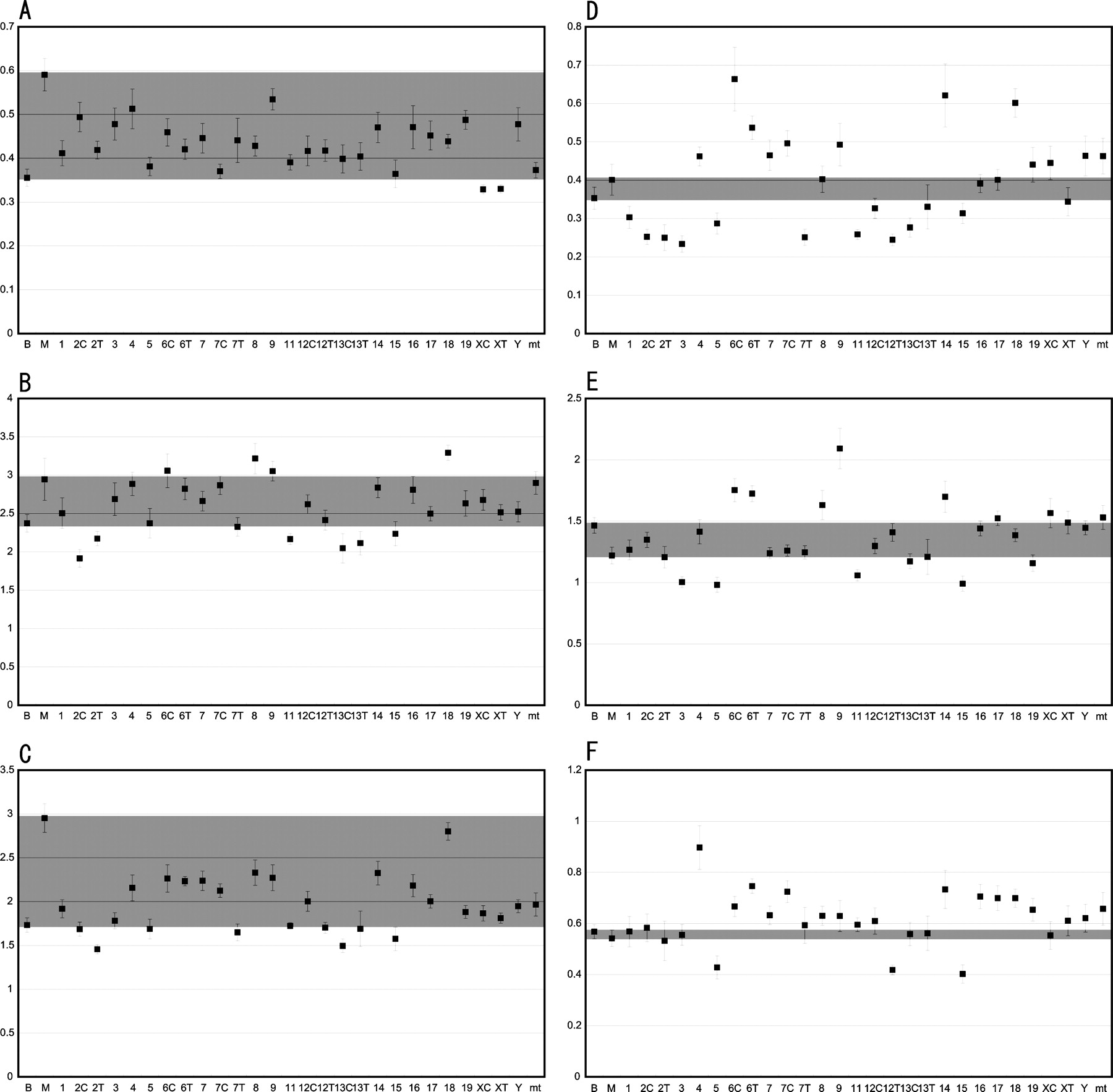
Distribution of measured values for fat pad deposits from the consomic strains as compared with the range observed for parental strains. The fat pad deposits of males were measured at 10 wk of age. Error bars show standard errors of the mean. Gray shading refers to the range of values between the MSM/Ms and B6 strains. (A) Dorsal brown adipose tissue; (B) dorsal white adipose tissue; (C) inguinal white adipose tissue; (D) perirenal white adipose tissue; (E) epididymal white adipose tissue; (F) mesenteric white adipose tissue. Measured values were used to determine the percentage of fat pad weight as compared to total fasted body weight.











