
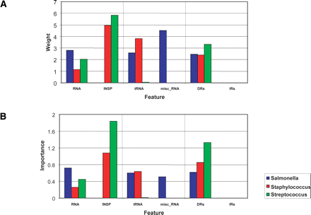
Figure 2.
Bar chart illustrating (A) the feature weight and (B) “importance” of six structural features (evaluated pairwise), under three different dual-featured GI models, trained on Salmonella, Staphylococcus, and Streptococcus-specific regions, respectively. Features: [RNA, INSP], [tRNA, misc_RNA], [DRs, IRs].











