
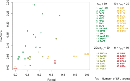
Figure 5.
Precision and recall for the top 100 SFL predictions for 37 query genes at γ = 1 by the G− kernel. Query genes are color coded according to the number of SFL partners from a recent screen (Lin et al. 2008).











