
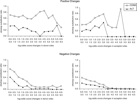
Figure 3.
Observed/neutral expectation substitution ratios for score changes of different magnitudes in rodent lineages. CONS, constitutive sites; ALT, alternative sites.
(Downloading may take up to 30 seconds. If the slide opens in your browser, select File -> Save As to save it.)
Click on image to view larger version.

Observed/neutral expectation substitution ratios for score changes of different magnitudes in rodent lineages. CONS, constitutive sites; ALT, alternative sites.