
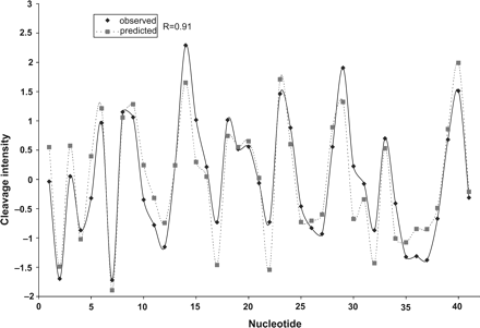
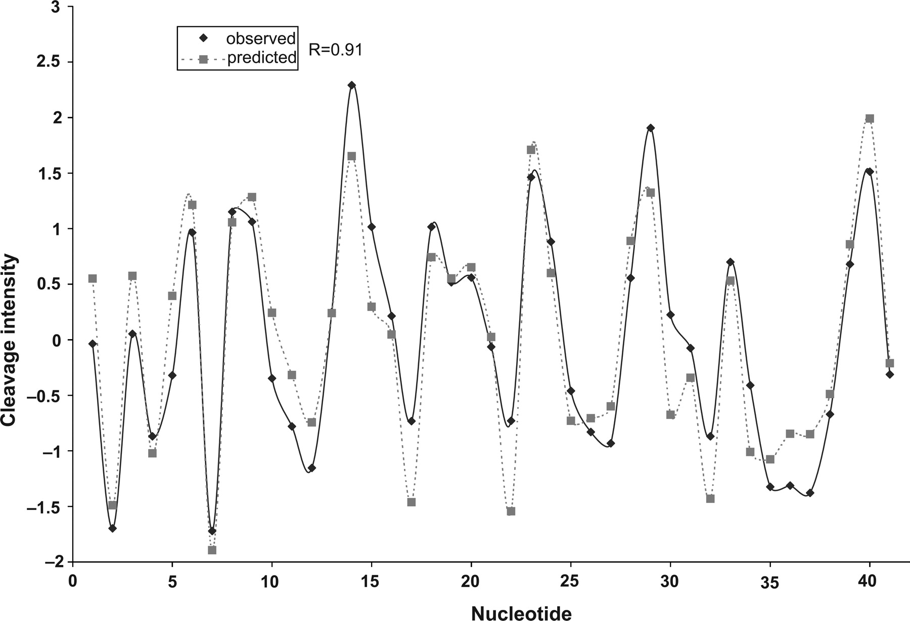
Figure 6.
Predicted hydroxyl radical cleavage pattern. The hydroxyl radical cleavage pattern of sample ID 25201 from the ORChID database was predicted using the Sliding Trimer Window algorithm (see Fig. 5). The predicted pattern (broken line) is compared to the experimental pattern (solid line). The experimental and predicted patterns have a correlation coefficient of 0.91.











