
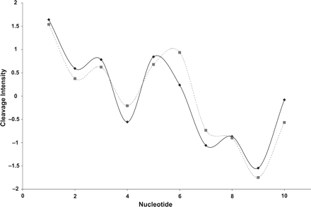
Figure 4.
High similarity in cleavage patterns for two sequences with low sequence identity. Plotted are the hydroxyl radical cleavage patterns of two 10-mer sequences that share no common nucleotides (sequence identity = 0%). Note the significant correlation (R = 0.94) of the two patterns. (See Supplemental Table S8 for sequences.)











