
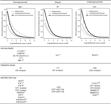
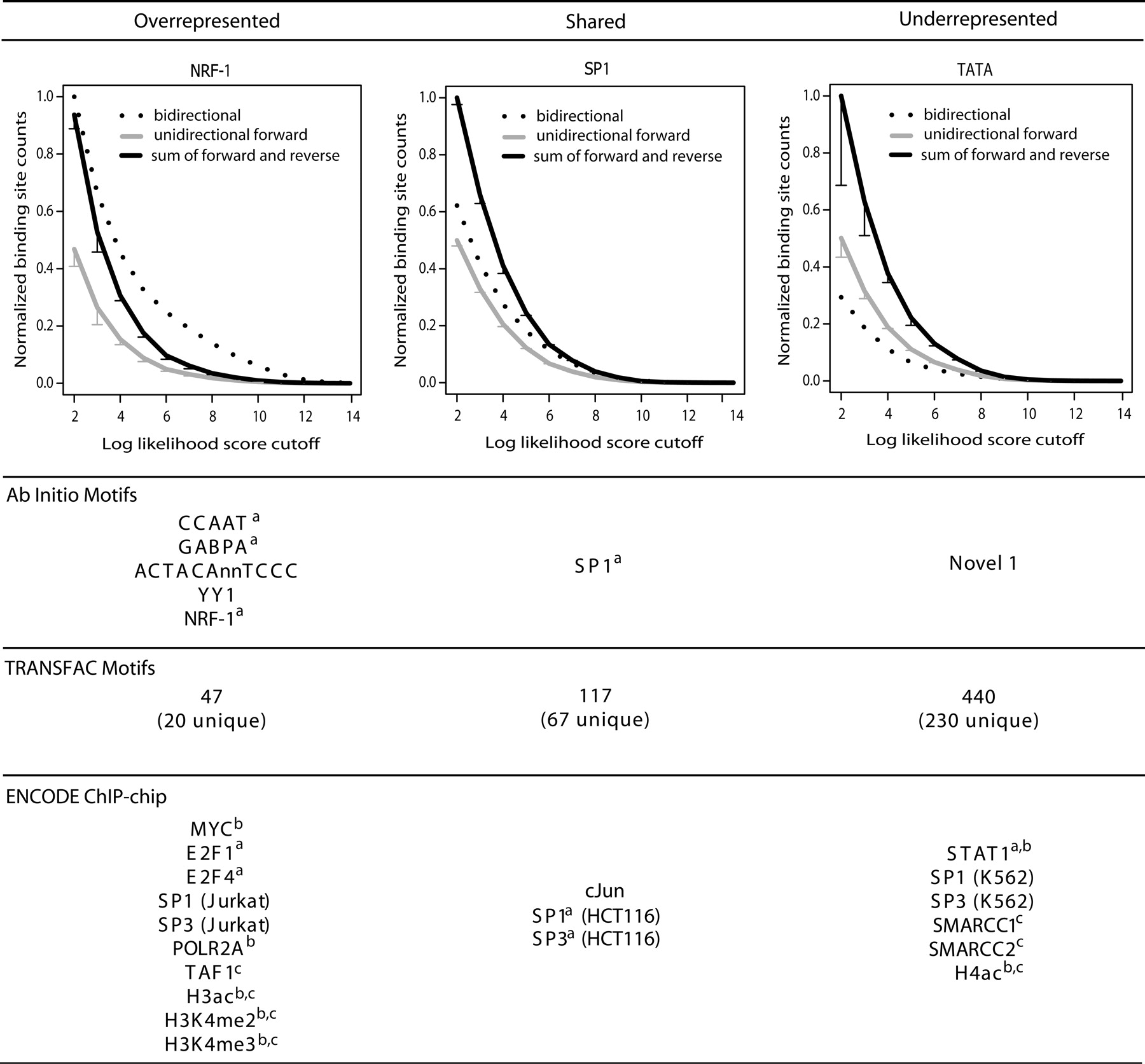
Enrichment of motifs, TF-binding, modified histones, and other nonsequence-specific factors in bidirectional promoters. The number of binding sites in bidirectional and sampled unidirectional promoters are normalized by the maximum number of sites and plotted against POSSUM log likelihood scores. Counts in the unidirectional reverse gene set are not shown for clarity because they are very similar to the binding-site counts in the unidirectional forward gene set (solid gray). The solid-black lines are the result of summing binding sites in the unidirectional forward and unidirectional reverse gene sets. Error bars indicate the standard error of the mean binding-site counts derived from 10 randomizations. aA TF that has a corresponding TRANSFAC motif placed in the same category; ba TF whose categorization is consistent among multiple ChIP experiments in different cell types or conditions; ca nonsequence-specific factor.











