
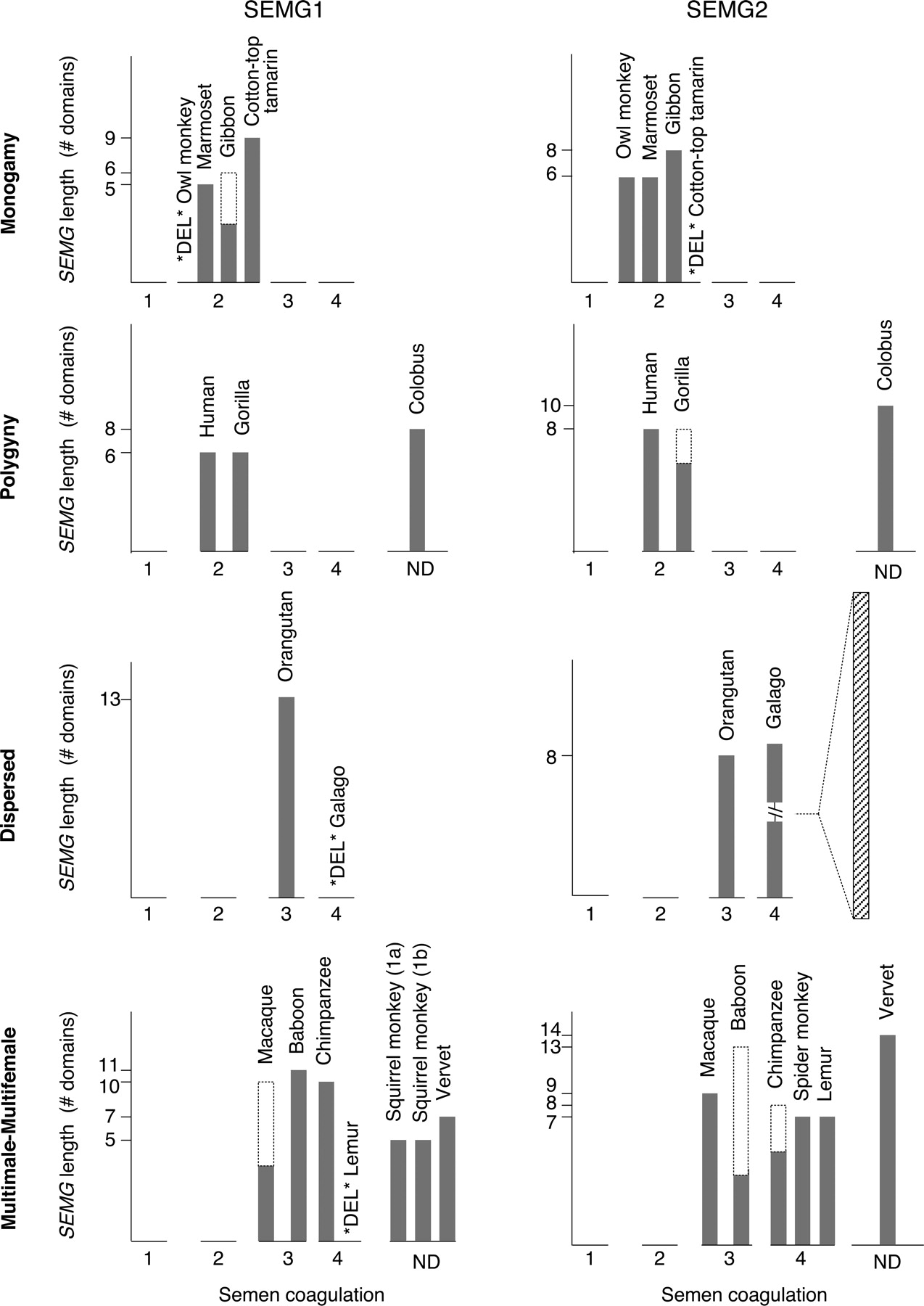
Relationships of semen coagulation, SEMG protein length, and mating system among primates. Primates are grouped according to their established mating system (Dixson 1997): monogamy, polygyny, dispersed, and multimale–multifemale. Semen coagulation is rated on a four-point scale (Dixson and Anderson 2002), with 1 reflecting no coagulation and 4 reflecting the production of a solid copulatory plug (ND, semen coagulation data not available). The indicated gray bars reflect the number of repetitive domains (each 60 amino acids in length) per SEMG protein, indicated for SEMG1 (left) and SEMG2 (right). Open bars represent predicted truncated proteins due to a premature stop codon or frameshift. SEMG genes that are deleted or nearly deleted are indicated by *DEL* before the species name. The hatched bar for galago SEMG2 indicates a ∼3-kb galago-specific inserted sequence encoding 77 additional domains (each 13 amino acids in length). The sequences for gibbon SEMG1 and SEMG2, cotton-top tamarin SEMG2, and spider monkey SEMG2 were obtained from the public databases (see Methods). Squirrel monkey has no SEMG2 gene, but contains two copies of a SEMG1 gene that may be the product of a gene-conversion event (yielding SEMG1a and SEMG1b, respectively).











