
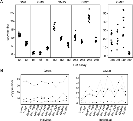
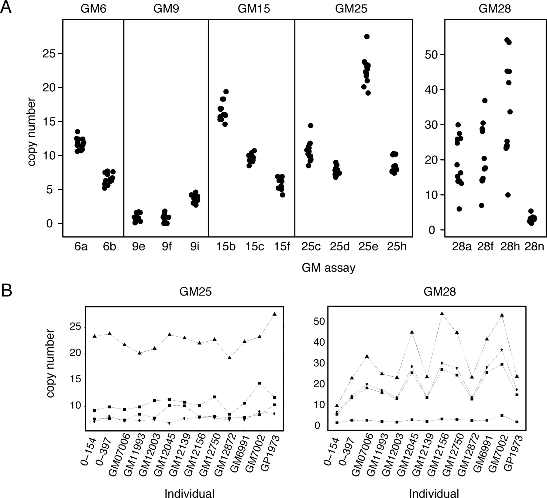
Figure 3.
Copy number polymorphism of five gene models in 13 unrelated individuals. (A) Each gene model was tested with two to four assays: X-axis, gene model assay; Y-axis, copy number. Each dot represents an individual. Note the different Y-axis scale for the left and right panels. (B) Graphical representation of the relationship between four different assays for 21pGM25 and 21pGM28 in the 13 individuals.











