
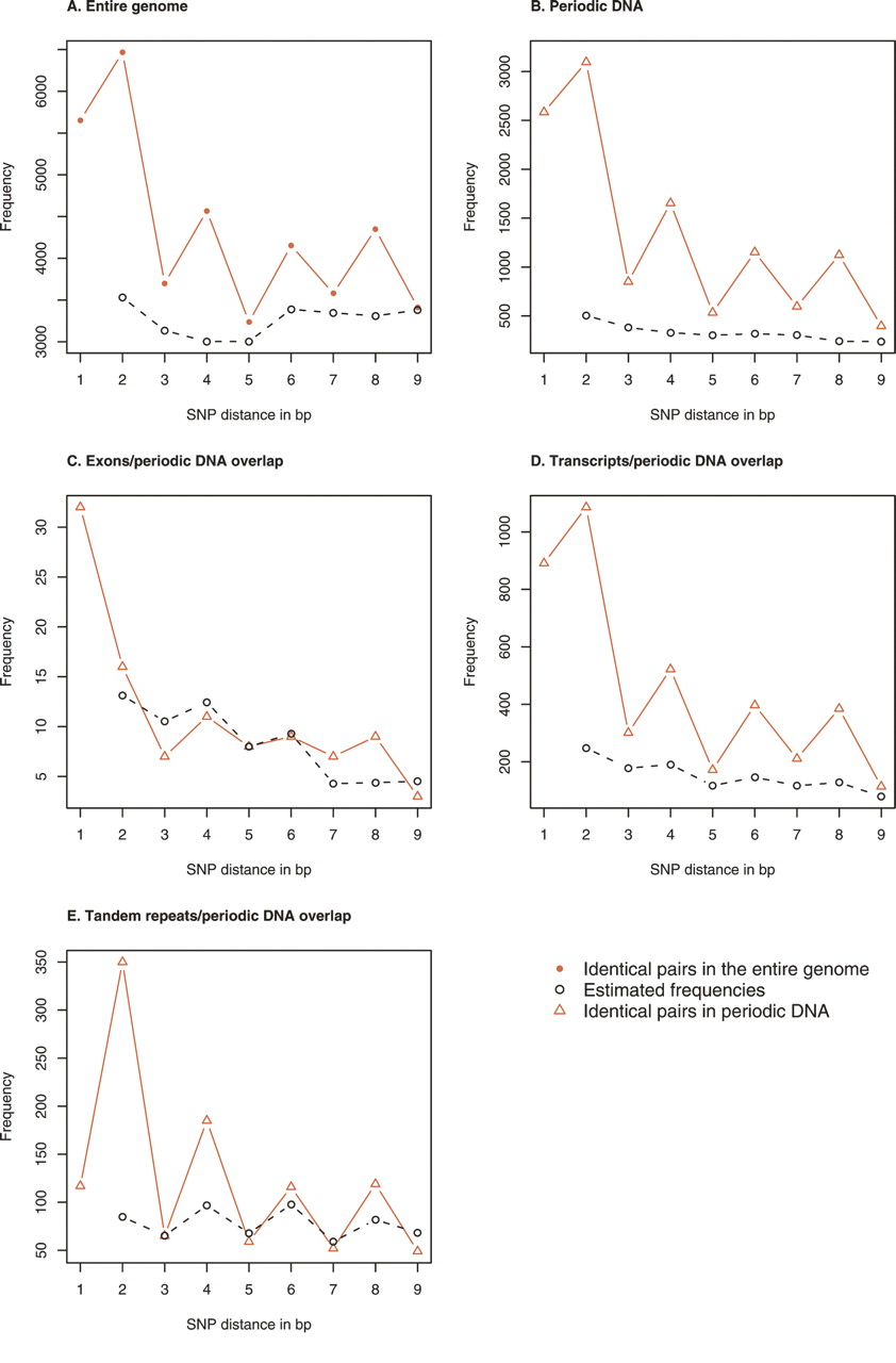
Location of periodic DNA. Estimated and observed frequencies for pairs of identical SNPs in: the entire genome (see Supplemental Fig. S1A for individual chromosomes) (A); periodic DNA (4.3% of the entire genome; see Supplemental Fig. S1B for individual chromosomes) (B); the overlap between exons and periodic DNA (0.06% of the entire genome) (C); the overlap between transcripts and periodic DNA (1.56% of the entire genome) (D); and the overlap between tandem repeats and periodic DNA (0.12% of the entire genome) (E). Because of the over-representation of SNP pairs in distance d = 1, we only estimated the frequencies for d = 2, . . . , 9.











