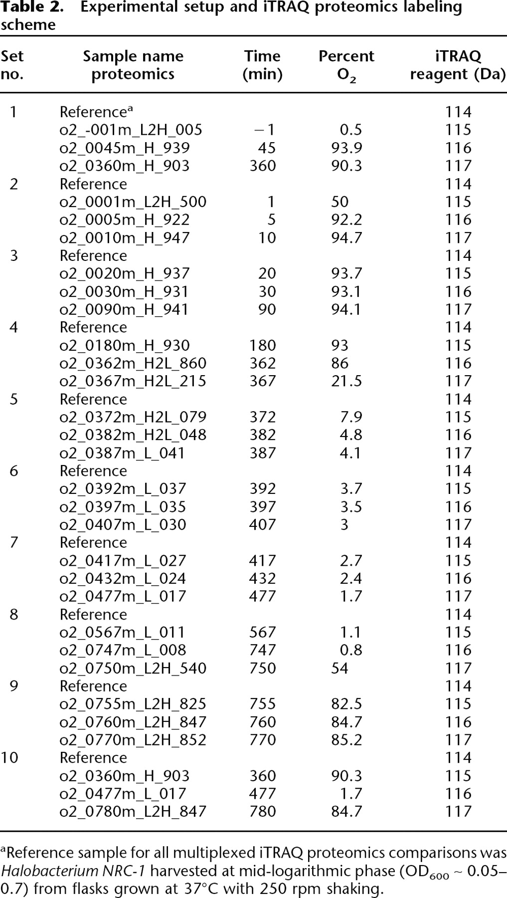
Table 2.
Experimental setup and iTRAQ proteomics labeling scheme
Click on table to view larger version.

aReference sample for all multiplexed iTRAQ proteomics comparisons was Halobacterium NRC-1 harvested at mid-logarithmic phase (OD600 ∼ 0.05–0.7) from flasks grown at 37°C with 250 rpm shaking.











