
Figure 3.
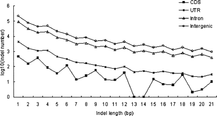
Length distributions of human-specific (HS) indels (categories 1 and 2) in coding and noncoding regions.
(Downloading may take up to 30 seconds. If the slide opens in your browser, select File -> Save As to save it.)
Click on image to view larger version.

Length distributions of human-specific (HS) indels (categories 1 and 2) in coding and noncoding regions.