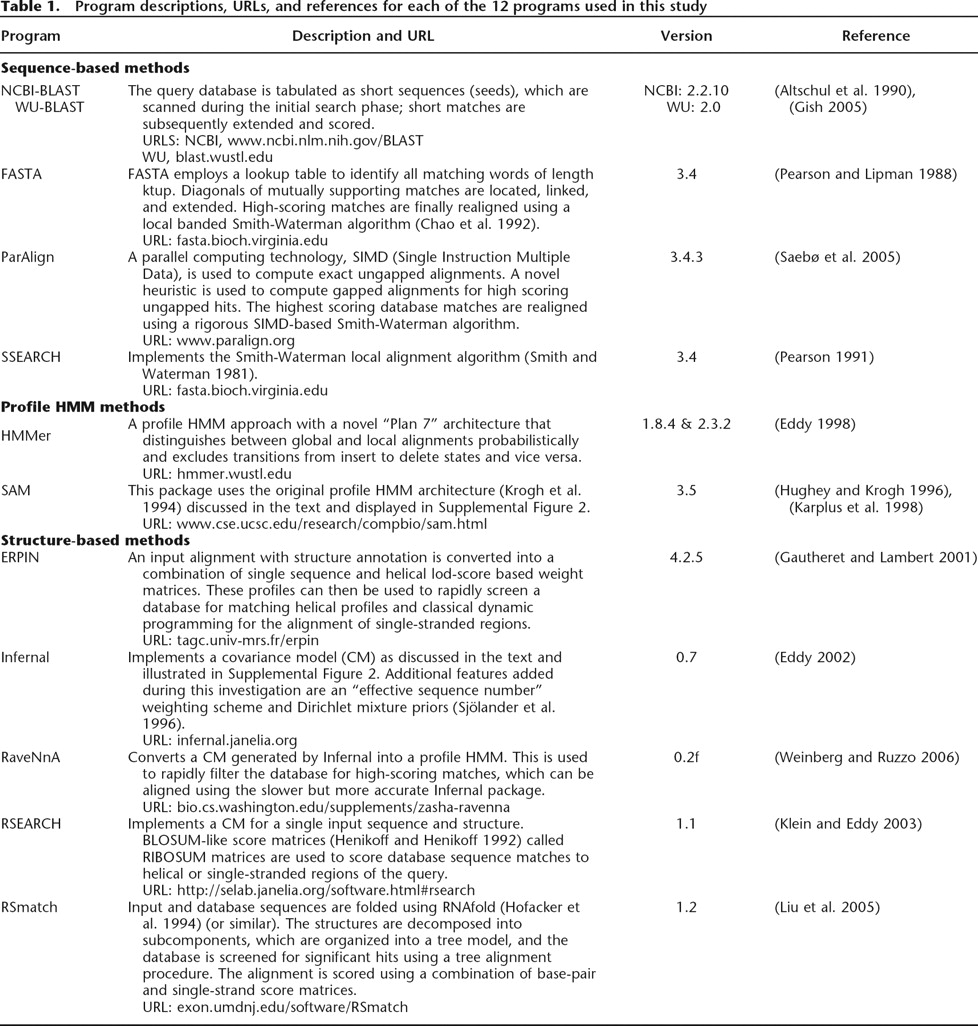
Table 1.
Program descriptions, URLs, and references for each of the 12 programs used in this study
Click on table to view larger version.

Click on image to view larger version.
Program descriptions, URLs, and references for each of the 12 programs used in this study
Click on table to view larger version.
