
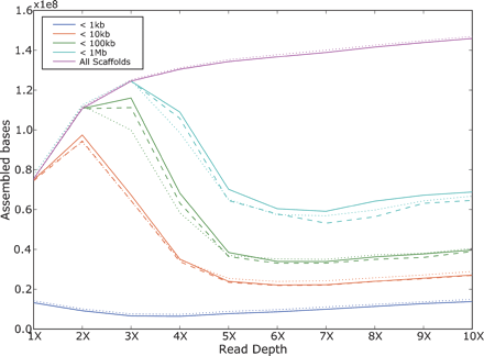
Effect of FASSI length constraints on D. melanogaster WGA scaffold sizes. Bases contained in scaffolds smaller than 1 kb, 10 kb, 100 kb, 1 Mb, and in all scaffolds are depicted by different colors on the stacked line graph. For every shotgun depth ranging from 1× to 10×, a base distribution for the control without map-derived constraints (solid line), FASSI-1 (dashed line), and FASSI-6 (dotted line) is shown.











