
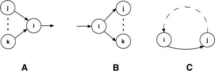
Figure 7.
Three potential ambiguous cases. (A) i has several possible predecessors; (B) i has several possible successors; (C) i forms a cycle with j.
(Downloading may take up to 30 seconds. If the slide opens in your browser, select File -> Save As to save it.)
Click on image to view larger version.

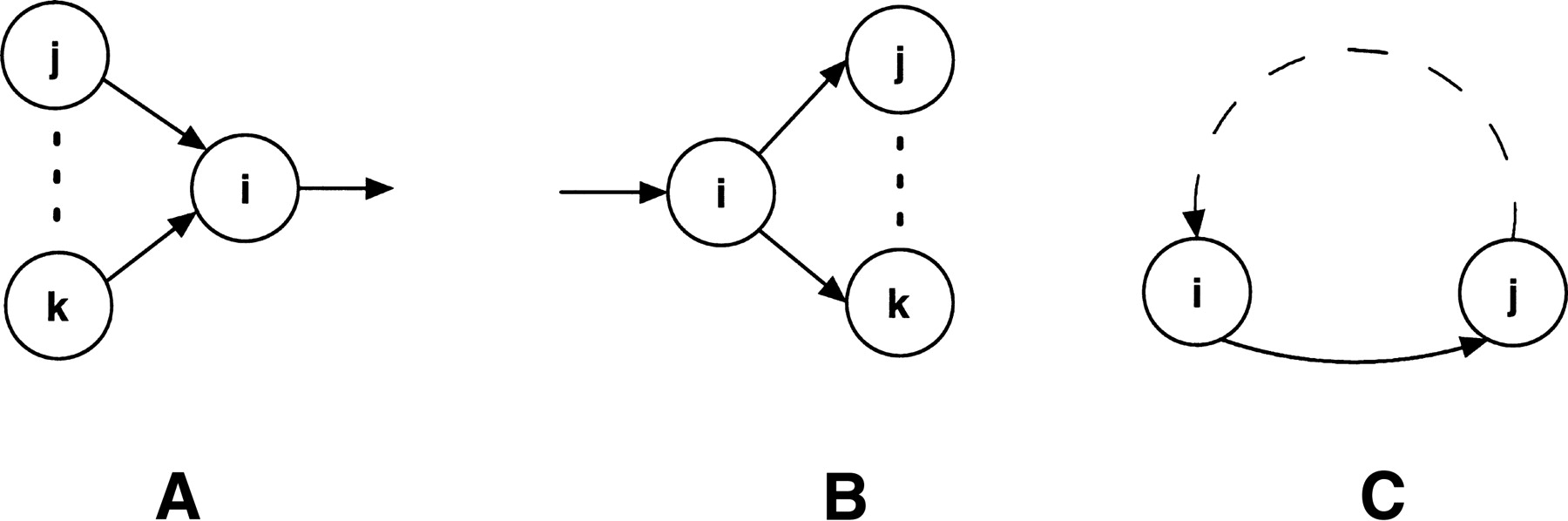
Three potential ambiguous cases. (A) i has several possible predecessors; (B) i has several possible successors; (C) i forms a cycle with j.