
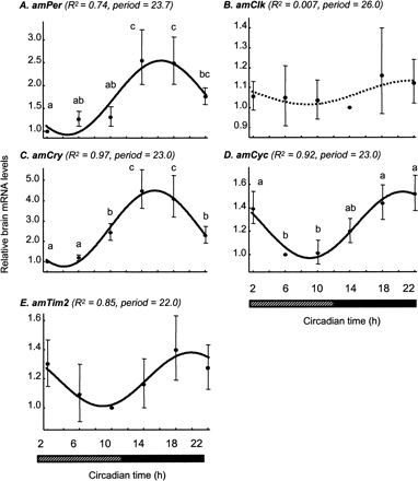
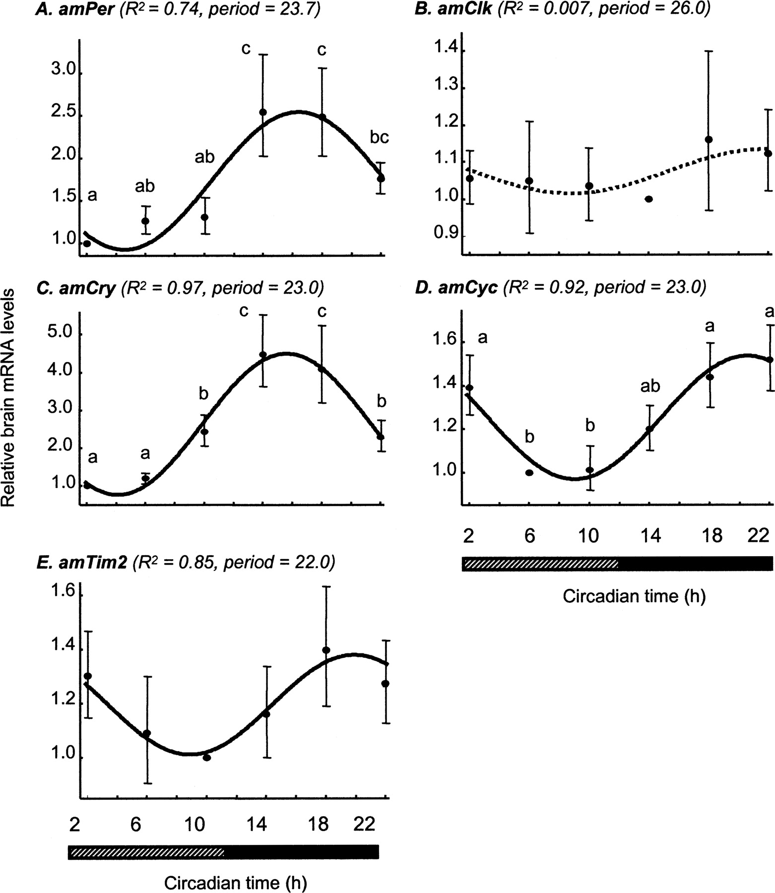
Brain transcript abundance over time in foragers entrained in LD and collected in DD illumination regime. Details of plots as in Figure 6, but show correlations with a cosinus model with a cycle of 22–26 h for bees from colony S11. (A) amPeriod; (B) amClock; (C) amCryptochrome; (D) AmCycle; (E) AmTimeout. Dashed regression line indicates that a co-sinus model accounts for <1% of the variation over time in amClk mRNA levels. We obtained similar results in two additional experiments, each with bees from a different, independent colony. The bars at the bottom of plots indicate illumination regime during sample collection. Black bar indicates dark; striped bar, subjective day. Sample size = 6.











