
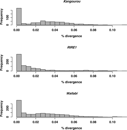
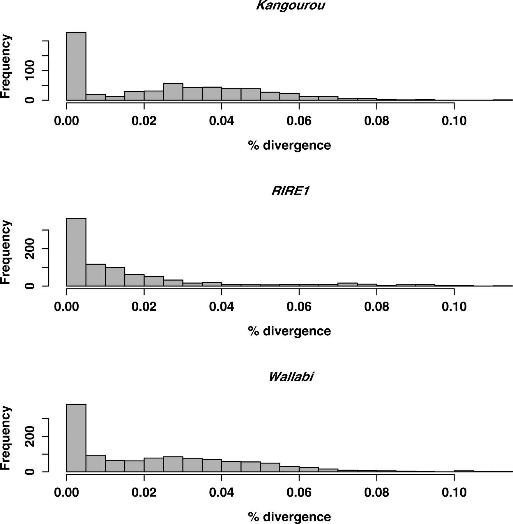
Figure 7.
Histograms of the most recent among all observed divergence computed for each paralog (compared with all others) of the three retrotransposons RIRE1, Kangourou, and Wallabi.











