
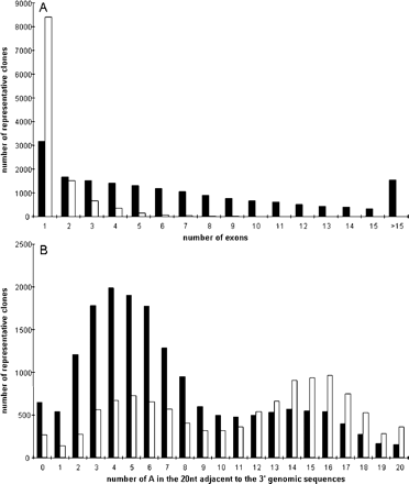
Figure 1.
(A) Distribution of exon number in mRNAs and putative ncRNAs. (B) Distribution of the number of As within the following 20 nt of the adjacent 3′ genomic sequence. The black bars are mRNAs (protein coding and flanking exonic sequences), and the white bars are putative ncRNAs.











