
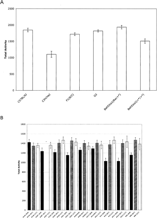
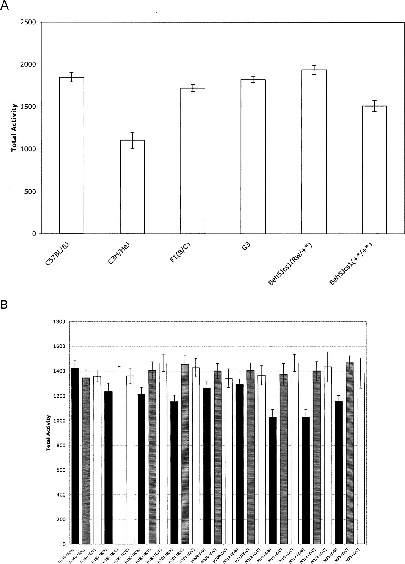
The Beh5Jcs1 mutant. (A) Activity level in the hole board is presented for C57BL/6J (B6) (n = 16), C3H/HeJ (n = 9), B6xC3H F1 (n = 25), nonaffected G3 progeny (n = 118), Rw/+* (n = 5) and +*/+* test class Beh5Jcs1 littermates (n = 10). There is significant difference between nonaffected G3 and Beh5Jcs1 +*/+* using the two-tailed t-test (P-value 0.0018). (B) Genetic mapping of the activity phenotype in 71 F2 progeny from a Beh5Jcs1+*/+ X Beh5Jcs1+*/+ intercross using seven microsatellite markers (abbreviated by exchanging the prefix “M” for “D5Mit”) along Chr 5: M146(8.5Mb), M387(26.6Mb), M183(52.6Mb), M201(74.5Mb), M309(78.2Mb), M312(93.7Mb), M10(101.6Mb), M314(108.4Mb), and M95(123.5Mb). Black bars represent values observed in mice homozygous for C57BL/6J (B/B), white bars for homoygous C3H/HeJ loci (C/C), and striped heterozygous for the two strains (B/C). The significant P-values from the two-tailed t-test for M10 B/B vs B/C and B/B vs C/C (n = 37) are 0.0027 and 0.0006, respectively.











