
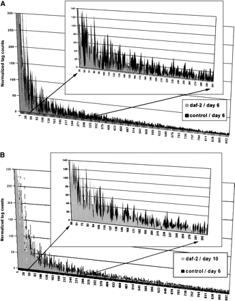
Global expression analysis of metabolism-associated genes in daf-2 and control worms. Genes associated with the GO term “metabolism” were analyzed. We compared expression profiles of the 900 most abundant genes in 6-d-old daf-2 vs. 6-d-old control worms (A) and 10-d-old daf-2 vs. 6-d-old control worms (B). The insets in both graphs show the section between tag #50 and #300 at a greater resolution. (A) At day 6, metabolism-associated tags in the control library are more abundant than in the daf-2 library (3.5-fold). (B) Comparison of daf-2 mutants (day 10) and controls (day 6) revealed a less distinct differential expression profile (1.6-fold lower expression of metabolism-associated tags in daf-2).











