
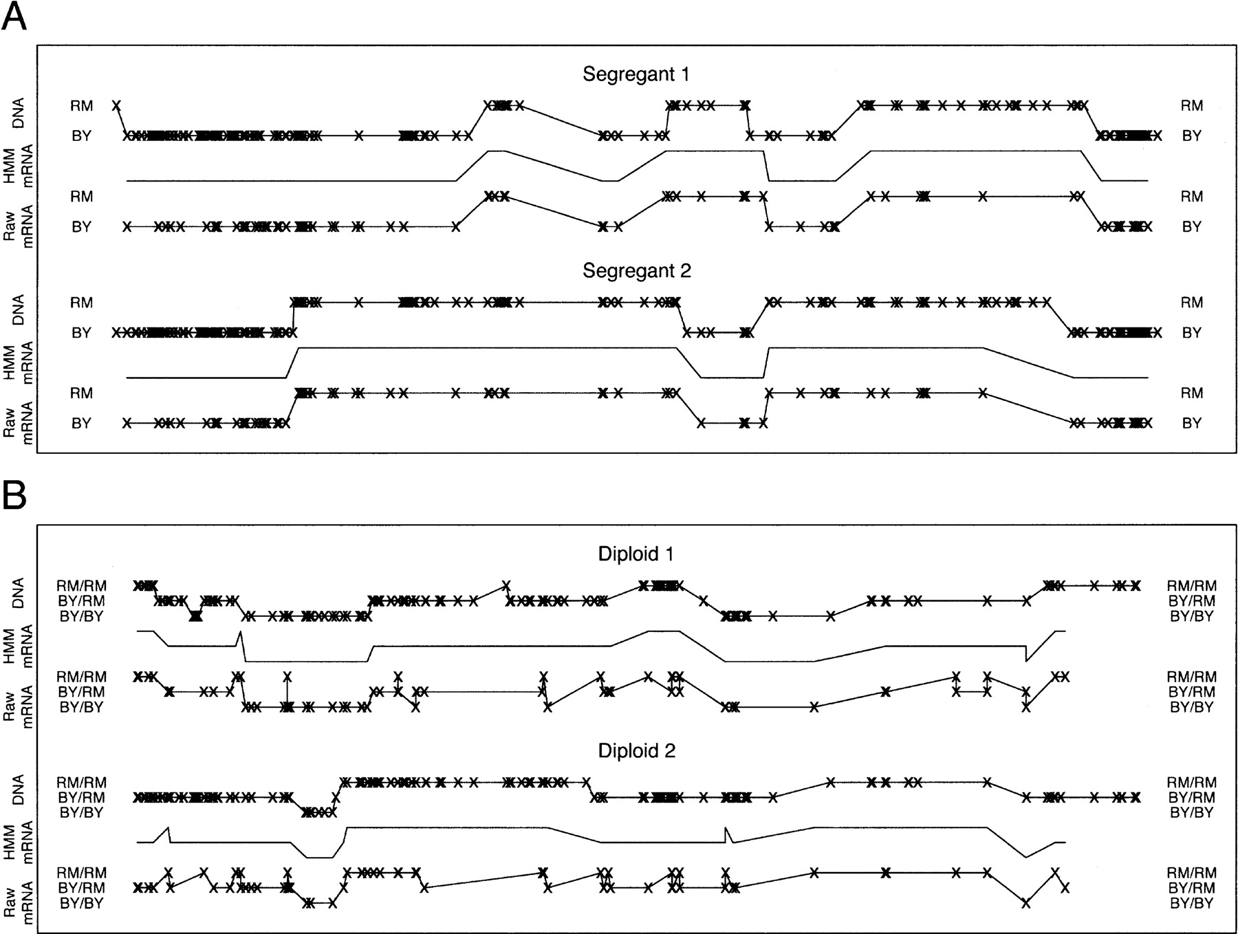
Figure 3.
Comparison of genomic DNA and mRNA-derived genotypes. (A) Chromosome IV genotypes in haploid segregants. The x's represent locations of markers. In each box, the middle line (without x's) is the most likely set of genotypes, estimated using the HMM, producing the mRNA data. (B) Chromosome XIII genotypes in diploid hybrids formed by mating two segregants.











