
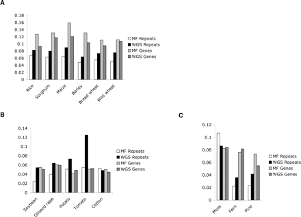
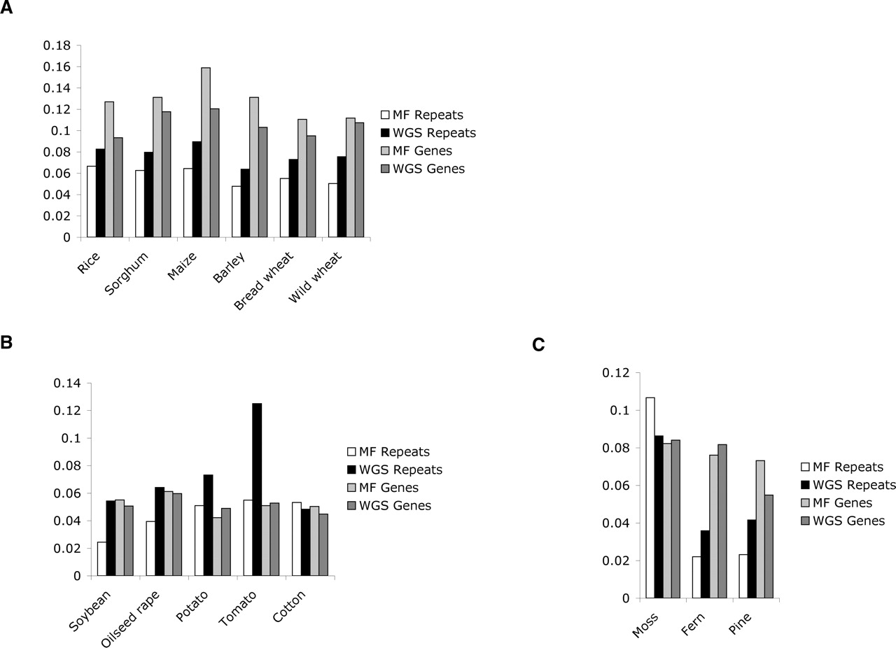
Figure 4.
Frequency of McrBC recognition sites in genes and repeats in each WGS or MF set of sequences. (A) Monocots, (B) dicots, (C) non-angiosperms. A classification of repeat content in each genome is described in Supplemental Table 3.











