
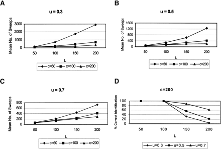
Figure 1.
Summary of results of synthetic Data Set 1 with motif length, p = 10: (A–C) Effect of the control parameter c on time to convergence for three values of u, and (D) the effect of increase of the number of polymorphic sites on the probability of correct motif identification (with c = 200) for various values of u.











