

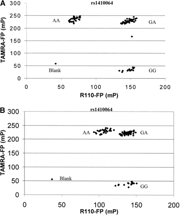
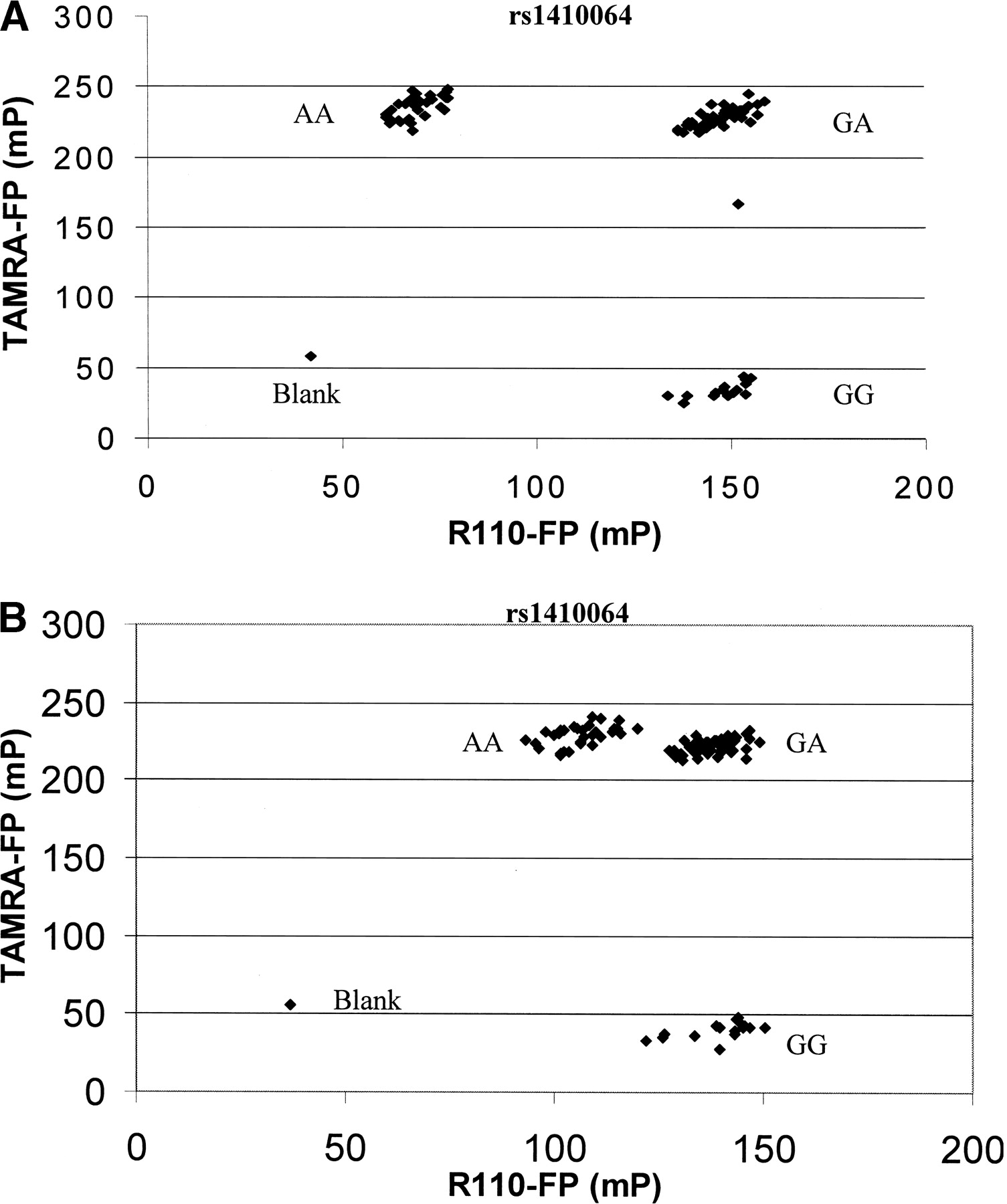
Genotyping results of marker rs1410064 with or without pyrophosphatase incubation. (A,B,C) The genotyping results of the PCR/TDI reaction without pyrophosphatase incubation at 10 (A), 20 (B), and 40 (C) cycles, respectively. In all three cases, the AA cluster moved toward the GA cluster, and the two clusters merged after 20 cycles. (D) The same reaction was performed but with a pyrophosphatase incubation step. No misincorporation was observed at 40 cycles.











