
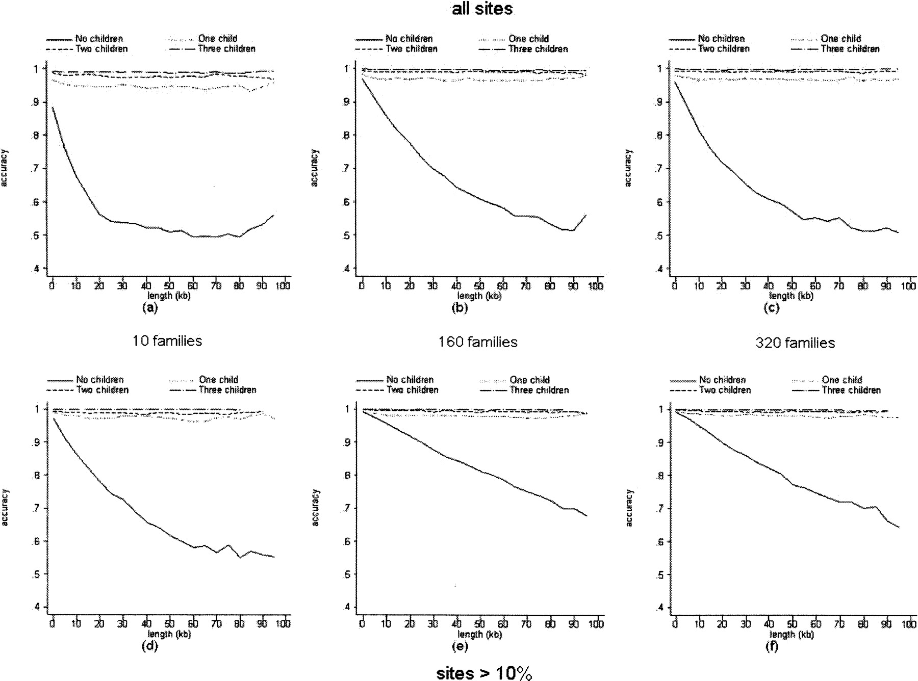
Pairwise accuracy of phase relation calls versus intervening length in families with both parents using simulated haplotypes. Results derived from 50 simulations of 40 haplotypes randomly paired twice to form 10 families (a, d); 640 haplotypes to form 160 families (b, e); and 1280 haplotypes to form 320 families (c, f). (a–c) All sites; (d–f) sites with minor allele frequency >0.1. The points for all graphs were calculated by the same procedure as in Figure 1 but without 95% confidence intervals.











