
Figure 1
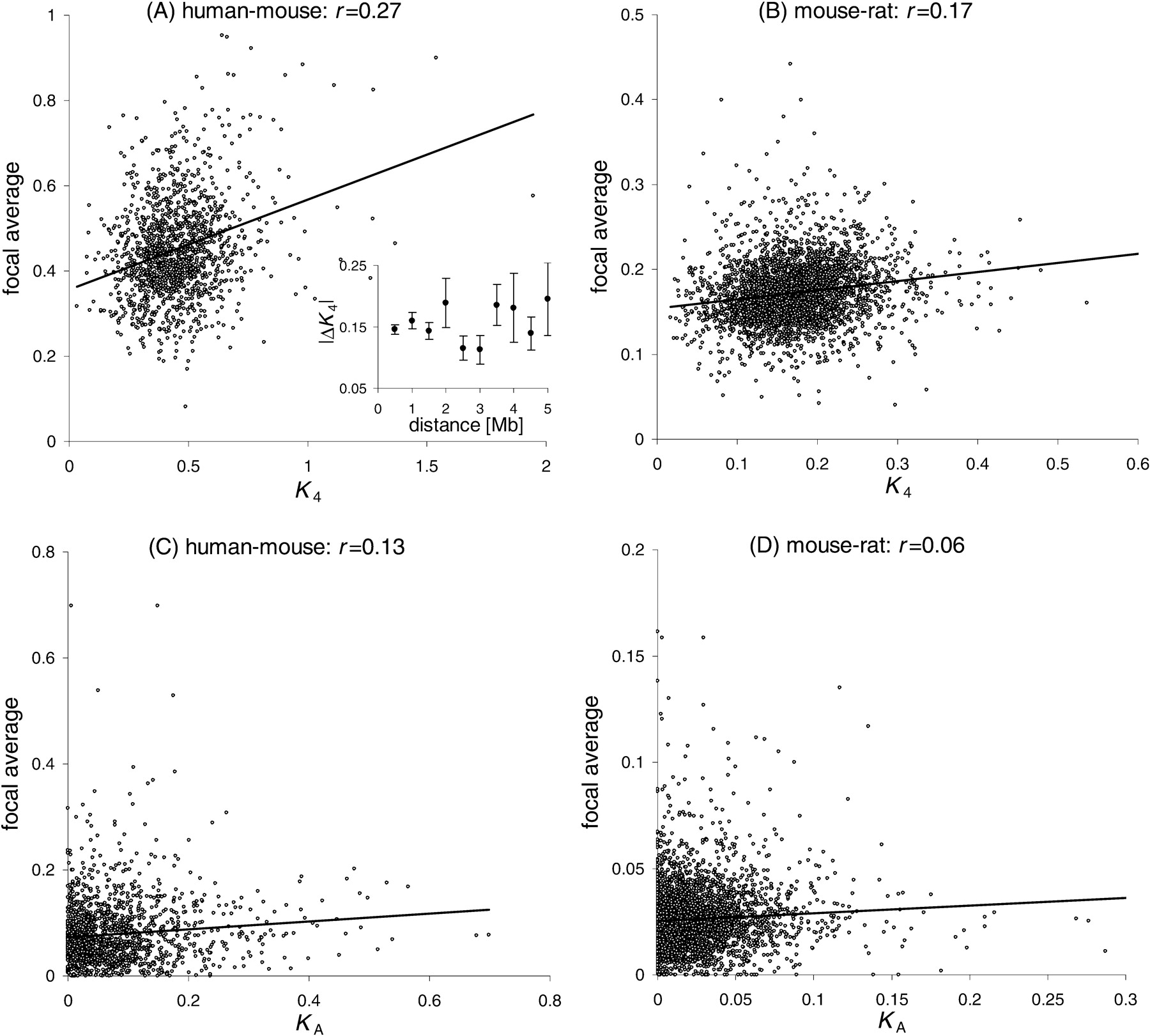
Correlation ρ between substitution rates and focal averages. For K4 (A,B), only nondisparate gene pairs are included. All correlations are highly significant (P ≤ 0.001). The inset in (A) shows an alternative measure of local similarity as used by Kumar and Subramanian (2002).











