
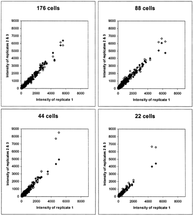
Figure 5
Reproducible gene-expression profiling of laser-captured samples. Total RNAs from laser-captured samples from different numbers of cells were assayed in triplicate. Cell number indicates the number of cells' worth of RNA input to each DASL assay. Correlation between individual replicates is shown by plotting the intensities for two replicates against the intensities of the third.











