
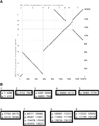
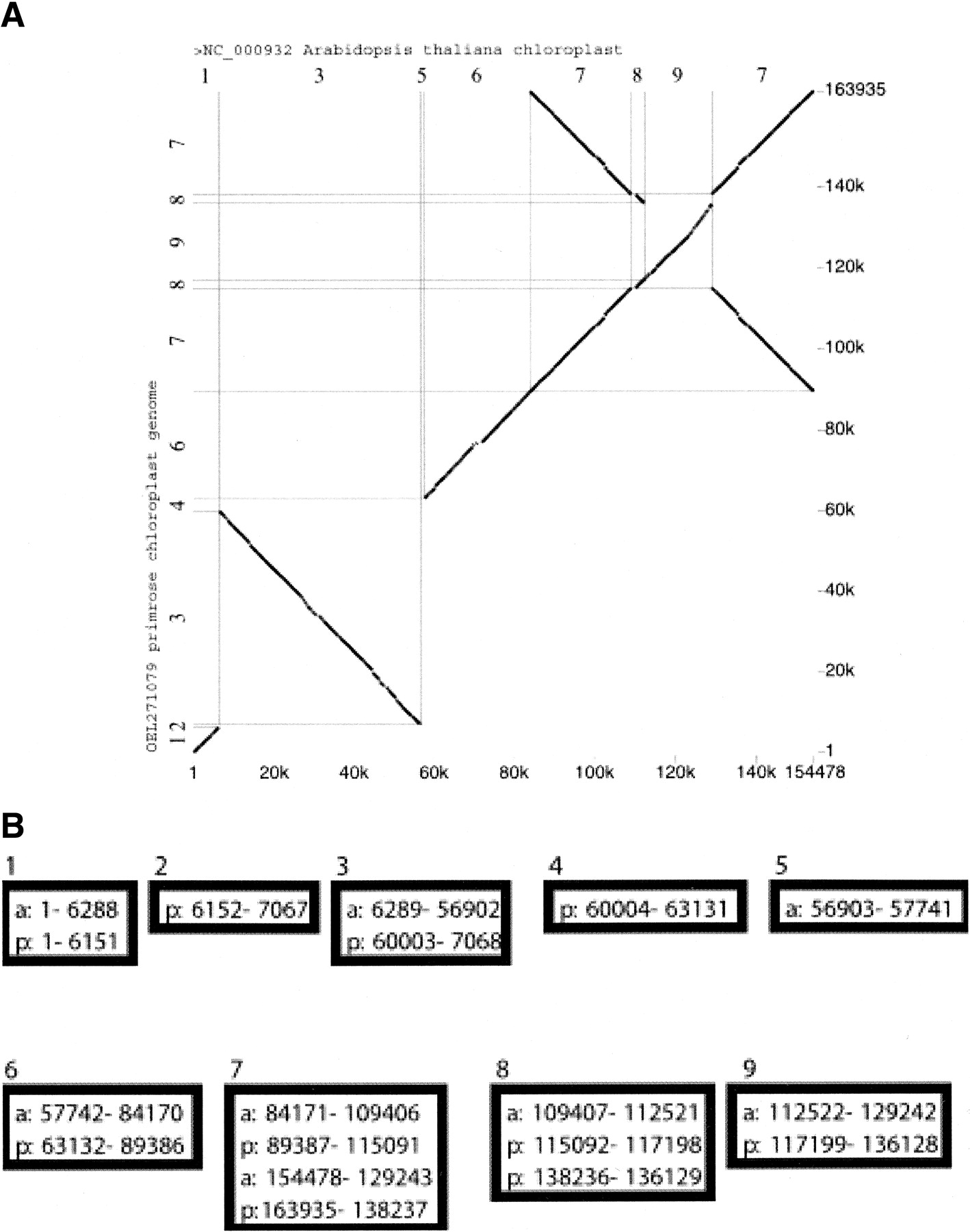
(A) Alignments between the chloroplast genomes of Arabidopsis thaliana and Oenothera elata (evening primrose). Lines running from lower left to upper right indicate positions of matches on the forward strand (relative to the GenBank entries, NC_000932 and OEL271079, respectively), and lines running from upper left to lower right indicate matches in reverse complement. The alignments were computed and displayed by programs used by the PipMaker Web server (Schwartz et al. 2000). (B) Blocks of a threaded blockset for the chloroplast genomes of Arabidopsis and evening primrose.











