
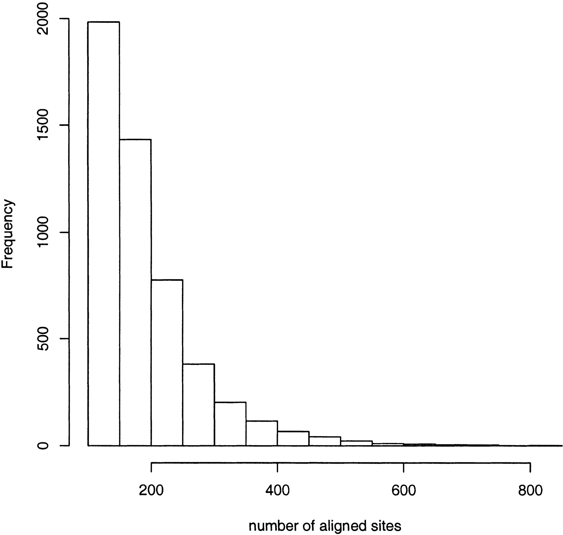
Figure 3
Histogram of the number of aligned sites in the evolutionary hotspots.
(Downloading may take up to 30 seconds. If the slide opens in your browser, select File -> Save As to save it.)
Click on image to view larger version.