
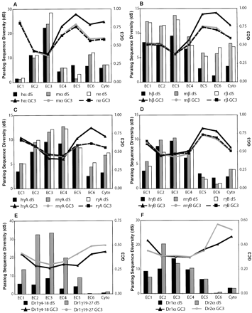
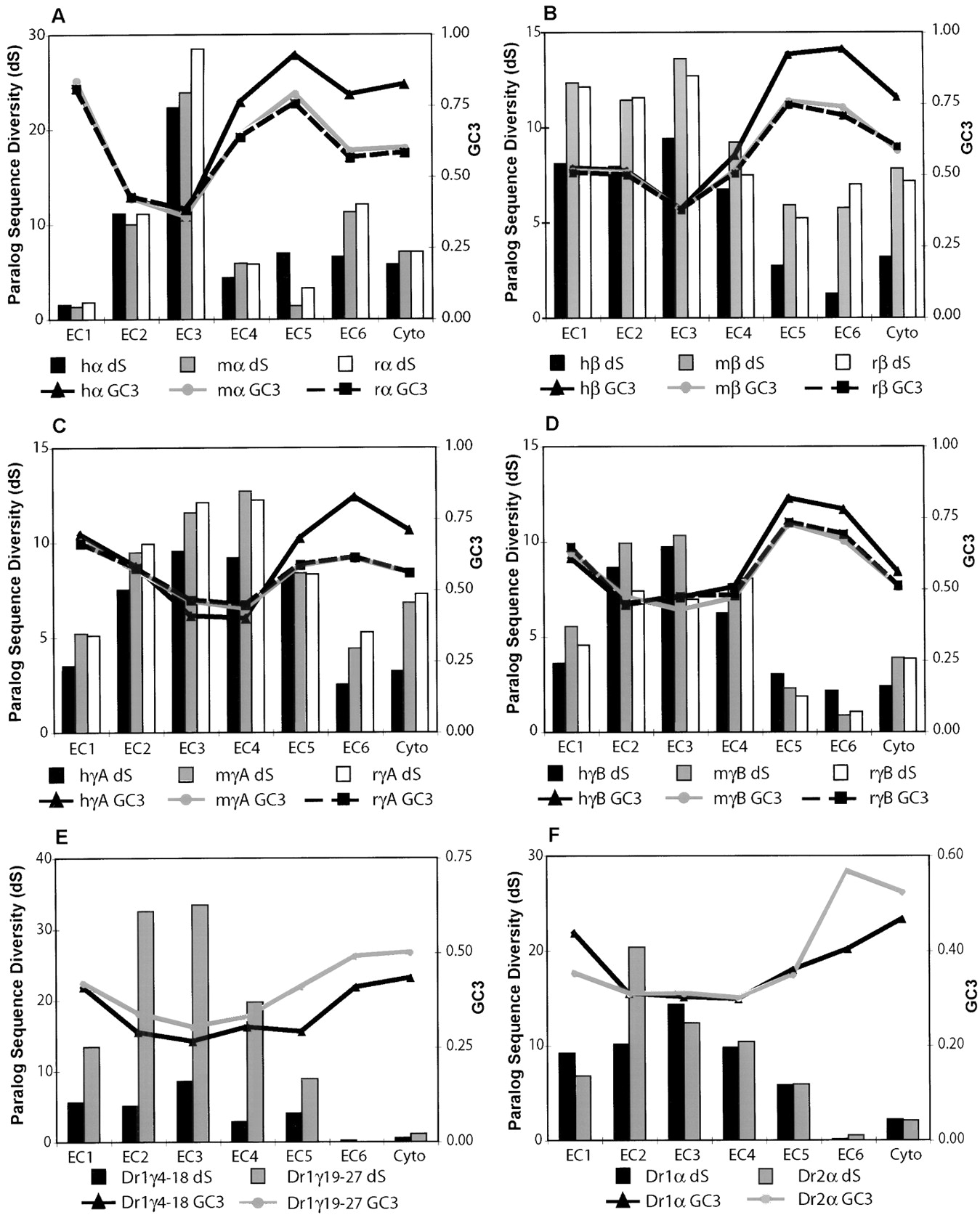
The correlation of paralogous sequence diversity at synonymous sites and third-position GC content implicates gene conversion in Pcdh homogenization. Neutral paralog sequence diversity vs. third-position GC content (GC3) is shown for ectodomains 1–6 and the cytoplasmic domain from various protocadherin paralog subgroups. (A) Human, mouse, and rat Pcdhα. (B) Human, mouse, and rat Pcdhβ. (C) Human, mouse, and rat PcdhγA. (D) Human, mouse, and rat PcdhγB. (E) Zebrafish Pcdh1γ. (F) Zebrafish Pcdh1α and Pcdh2α.











