
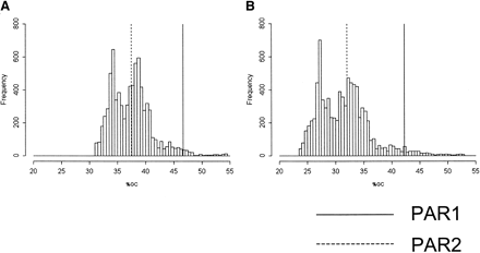
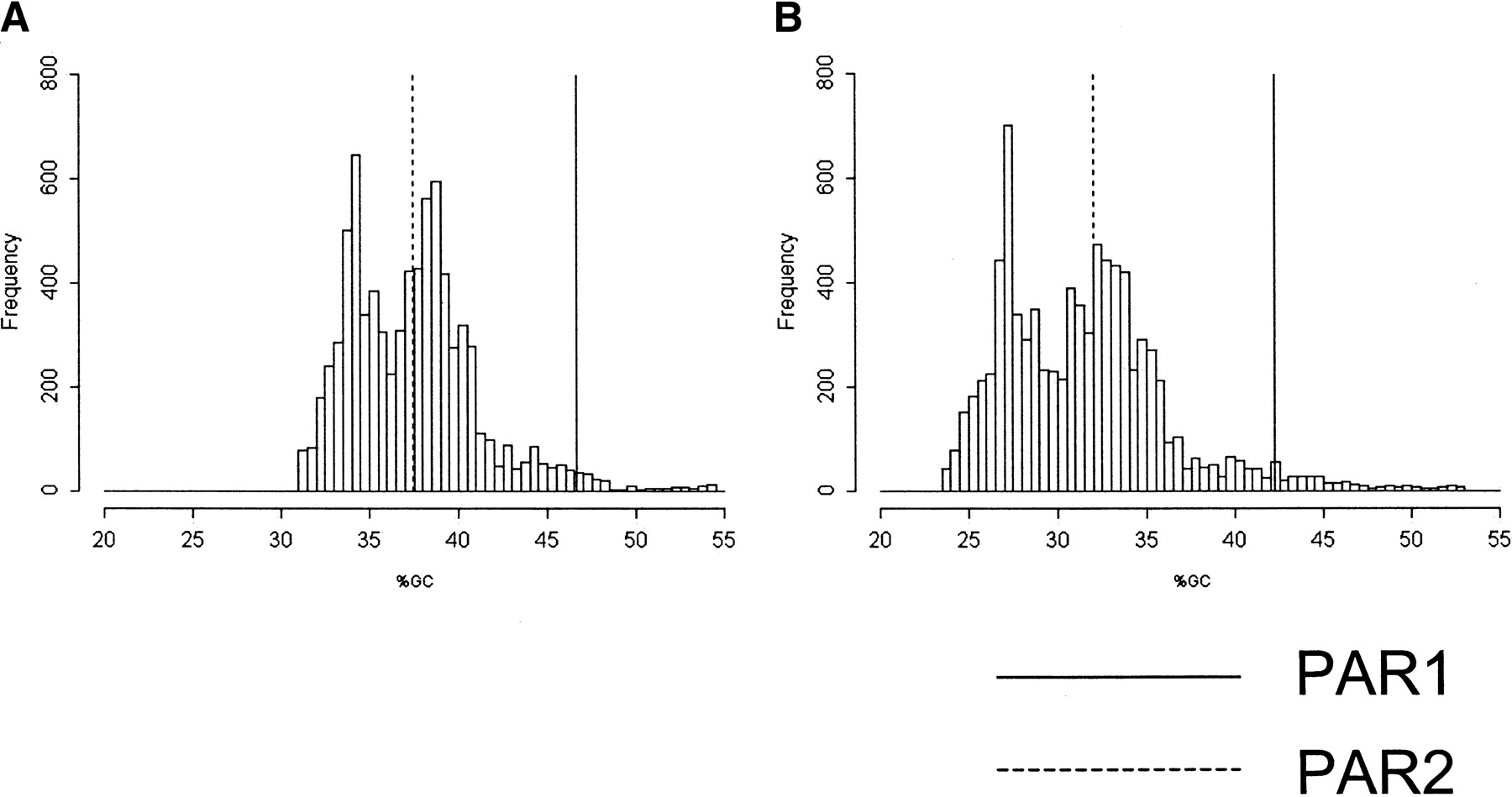
Frequency distribution of the %GC of sequence windows of the same length as PAR1 in the human X-chromosome. (A) Distribution of %GC of intergenic nonrepetitive sequences. Each window is 190 kb, the number of intergenic nonrepetitive nucleotides from PAR1. We slid each window by 1% of the window size. The %GC of PAR1 is >99.33% of the total distribution, whereas that of PAR2 is only >55.64%. (B) Distribution of %GC of intergenic nonrepetitive sequences after excluding CpG, TpG, and GpA dinucleotides. Each window is 125 kb, the number of intergenic nonrepetitive nucleotides after excluding those three types of dinucleotides from PAR1. The %GC of human PAR1 lies above 99.05% of the distribution, and that of PAR2 is only above 57.09%.











