Locating Sequence on FPC Maps and Selecting a Minimal Tiling Path

(Downloading may take up to 30 seconds. If the slide opens in your browser, select File -> Save As to save it.)

Click on image to view larger version.

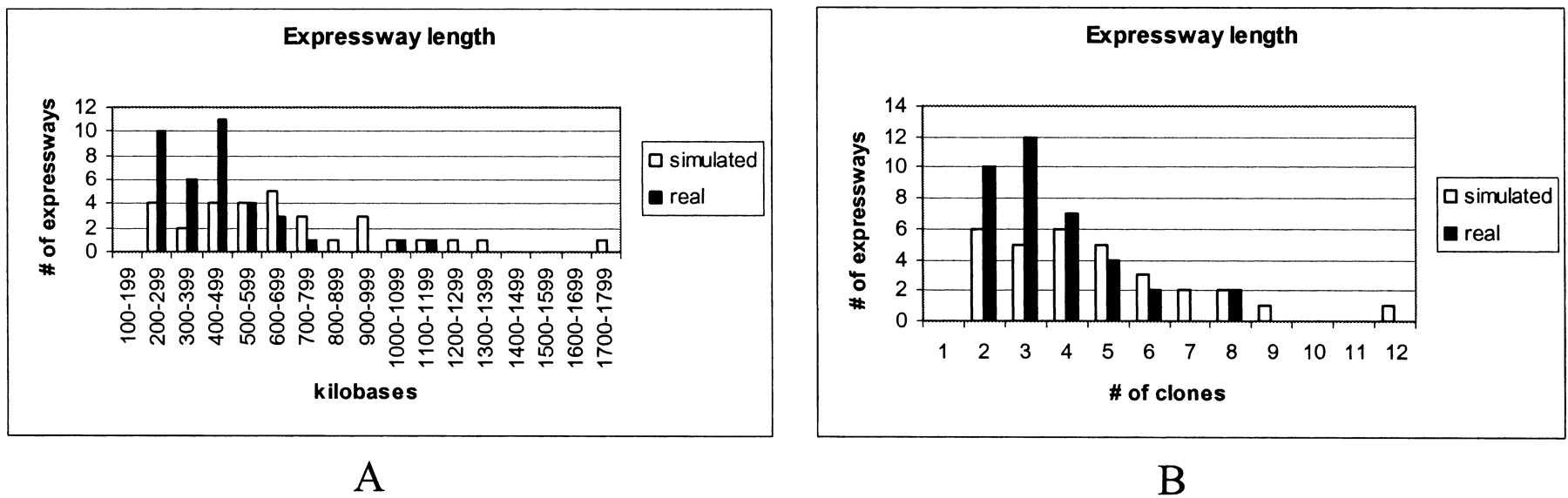
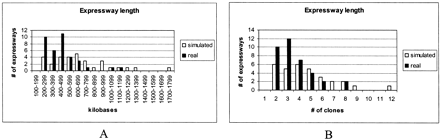
Figure 4
Figure 4

The distribution of expressway lengths.

This Article

  1. Genome Res. 13: 2152-2163

Preprint Server