
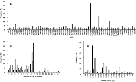
(A) Frequency of alleles, (B) frequency of different sized tandem repeat domains, and (C) frequency of different types of VASES regions for GPG cluster strains (solid bars) and noncluster strains (hollow bars) analyzed. Allele frequencies were calculated assuming that all strains tested were diploid; that is, where PCR analysis suggested the presence of only one allele in a strain, the allele was assumed to be present in two copies. The two borderline strains (HUN92 and HUN122; see a list of strains in Suppl. Material) were included in the calculations.











