
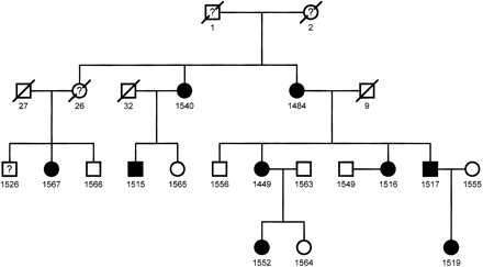
Figure 1
This pedigree indicates the affected (black symbols) and unaffected (white symbols) family members (males, boxes; females, circles). Those with four-digit identifiers were included in the initial linkage analysis as well as in the PMSG and dHPLC studies (except 1555). The numbers correspond to the identifiers used in the text, tables, and figures in the present report.











