
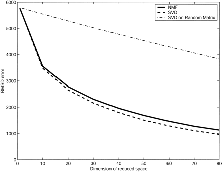
The RMS error of NMF and SVD factorizations of the original data as a function of the number of dimensions in the reduced space. For comparison, SVD factorization was also carried out on a random matrix based on the data matrix. The results show that NMF is nearly as good as SVD at reproducing the original data for any dimensionality, and that near a dimensionality of about 50 the marginal increase (slope) in NMF's ability to describe the original data is similar to SVD's ability to match random (unstructured) data. Thus, an NMF dimensionality of 50 is appropriate to describe the structure in the data.











