
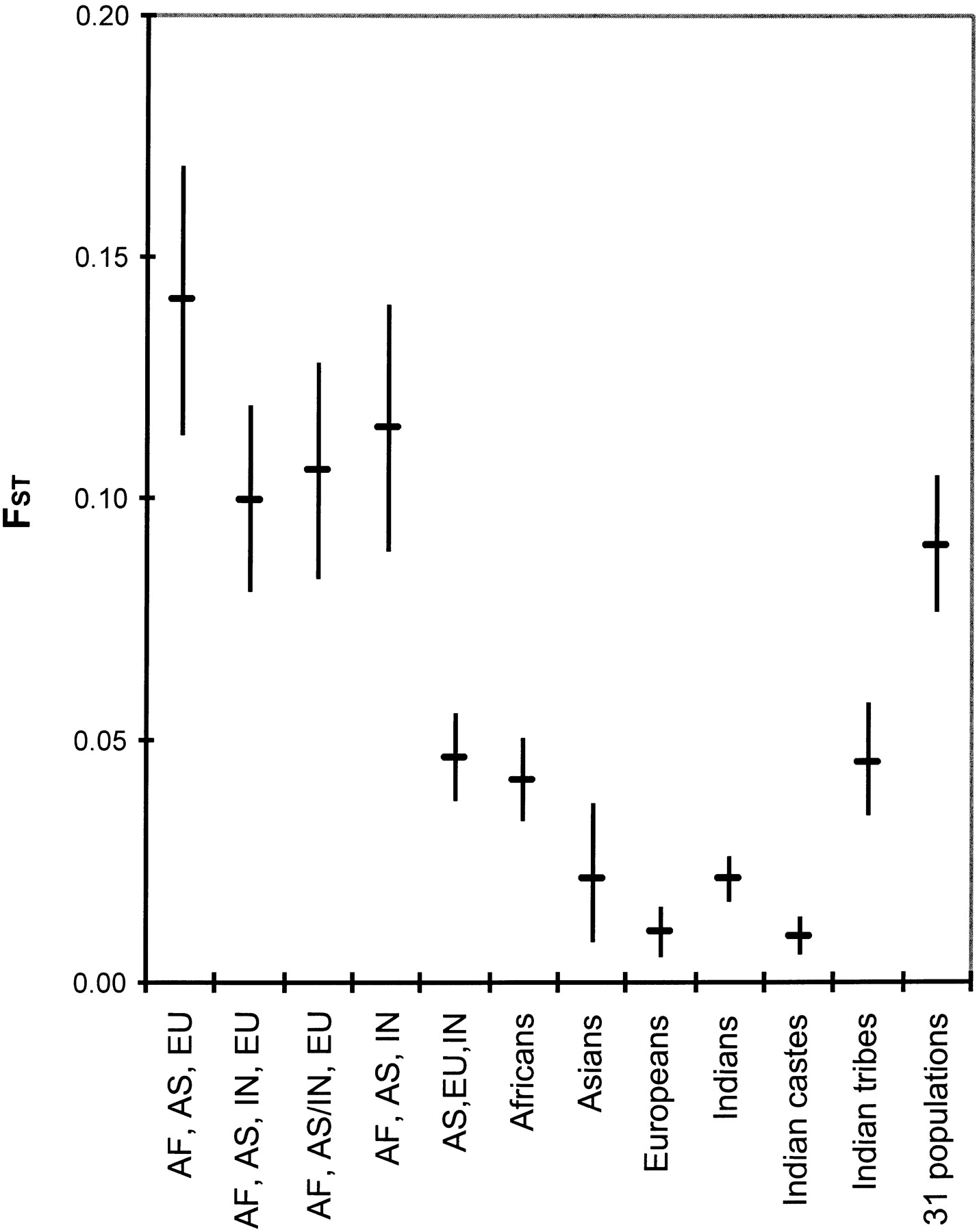
Figure 5
FST for world populations. FST estimates with 95% confidence intervals are shown for comparisons between major groups of Africans (AF), E. Asians (AS), Europeans (EU), and Indians (IN), for populations within the major groups, and for all 31 populations.











