Mouse Proteome Analysis

(Downloading may take up to 30 seconds. If the slide opens in your browser, select File -> Save As to save it.)

Click on image to view larger version.

Figure 3
Figure 3

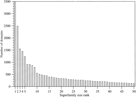
Observed evolutionary domains. The ordered sizes of superfamilies with greater than 100 members.

This Article

  1. Genome Res. 13: 1335-1344

Preprint Server