
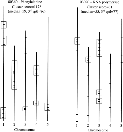
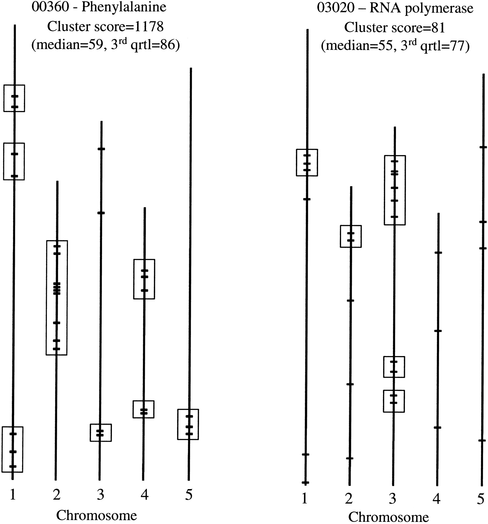
Figure 3.
Distribution of genes in pathways with and without significant clustering in A. thaliana. Pathway 00360 has a highly significant clustering score, whereas pathway 03020 does not. Merged data were used. The boxes represent putative loose gene clusters.











