
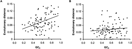
Figure 3.
(A) Relationship between evolutionary divergence and GC content, GC4, at synonymous sites of 93 genes from the human–macaque comparison; R 2 = 0.125,P < 0.01. (B) Relationship between evolutionary divergence and GC4 after excluding fourfold-degenerate sites involved in CpG dinucleotides; R 2 = 0.01,P > 0.05.











