
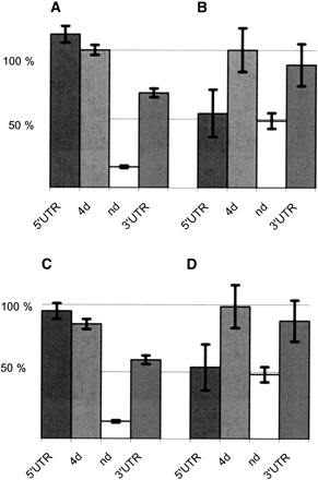
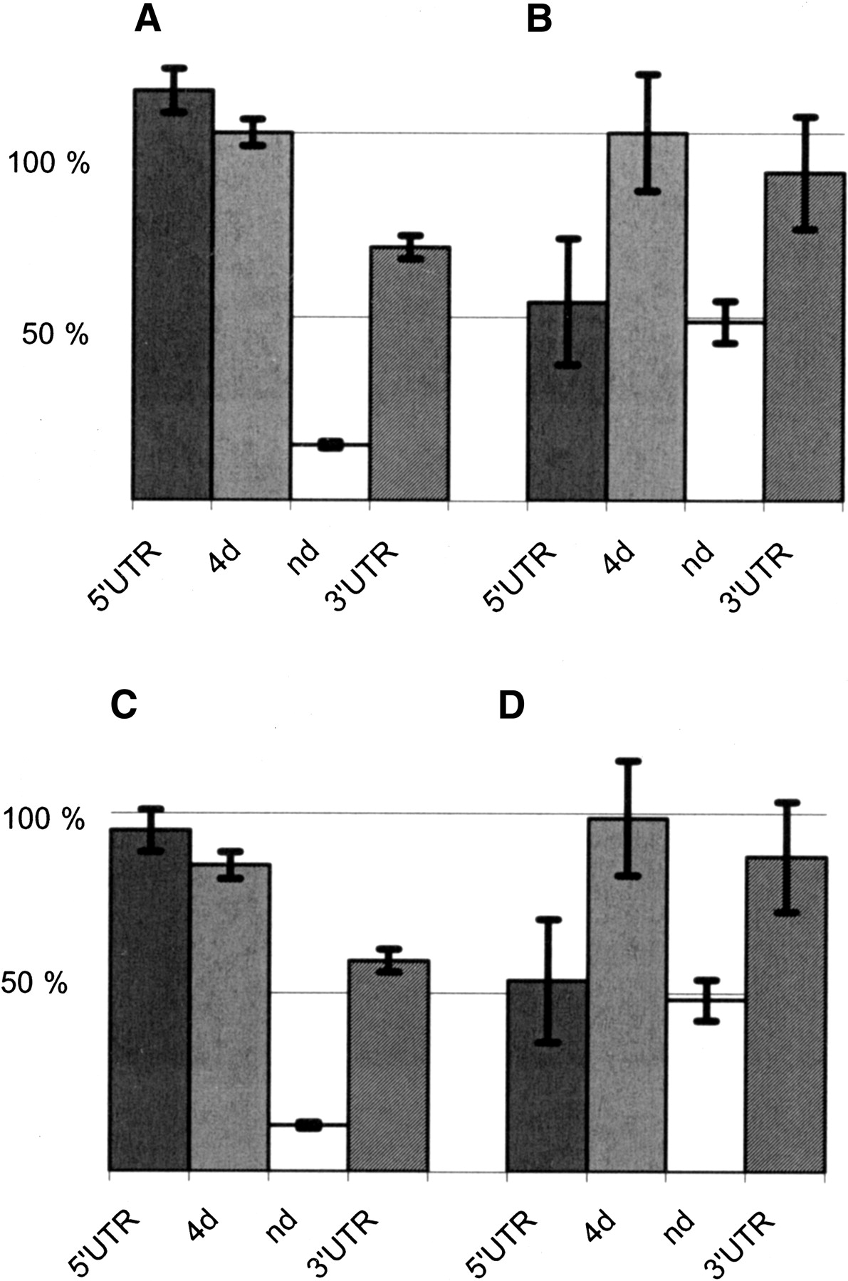
Relative amounts of divergence and diversity in transcripts. The extent of differences between chimpanzee and human genes (A) within orthologous regions of 5′UTRs, fourfold degenerate sites (4d), nondegenerate sites (nd), and 3′UTRs and the extent of polymorphism among humans (θw) (B). Panels A andB are scaled such that changes at 4d sites have equal heights. Panel C shows the differences between the species normalized to the genome-wide divergence between humans and chimpanzees (Ebersberger et al. 2002), and panel D shows the extent of polymorphism normalized to the genome-wide nucleotide diversity (Sachidanandam et al. 2001).











