


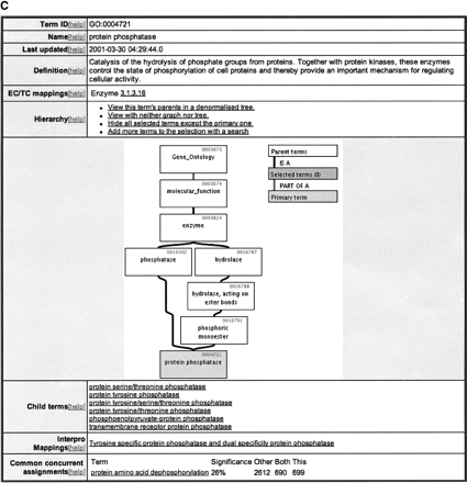
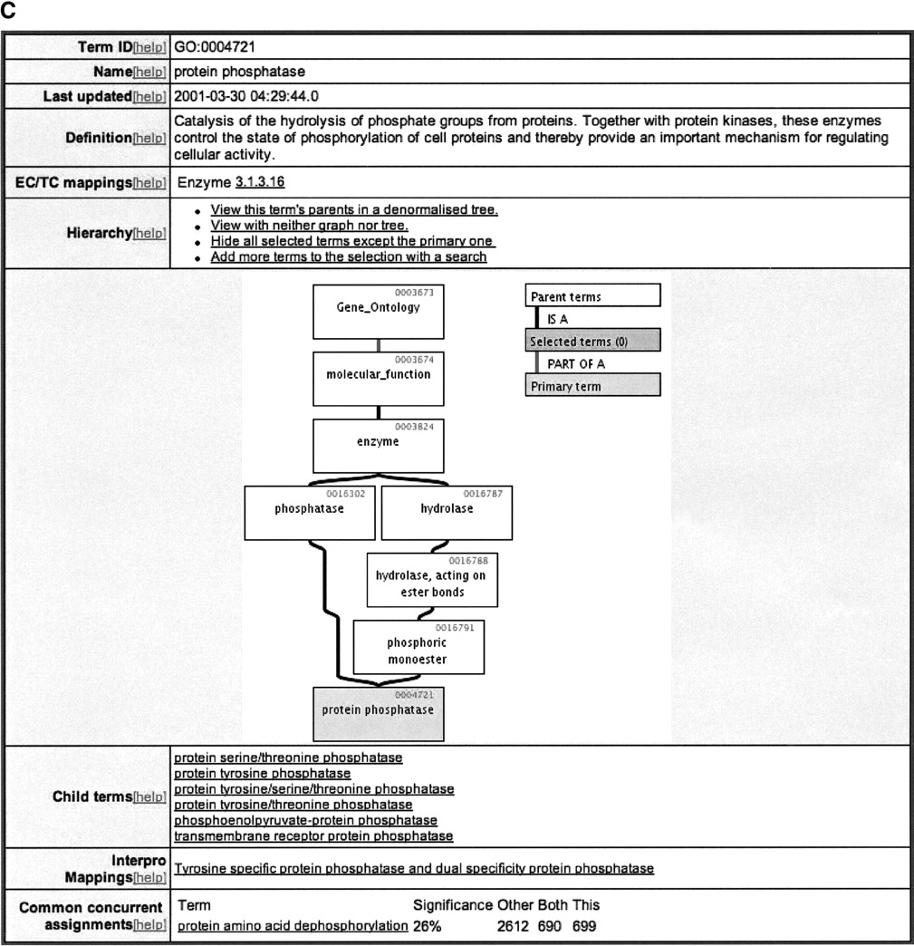
(A) Sample of QuickGO display page showing all GO terms that have been mapped electronically and manually to SWISS-PROT entry Q9Z247. (B) Sample of QuickGO display screen showing all information currently available through EBI for the GO term “protein phosphatase,” using the denormalized tree view. (C) Sample of QuickGO display screen showing all information currently available through EBI for the GO term “protein phosphatase,” using the graphical tree view.











