
Figure 5.
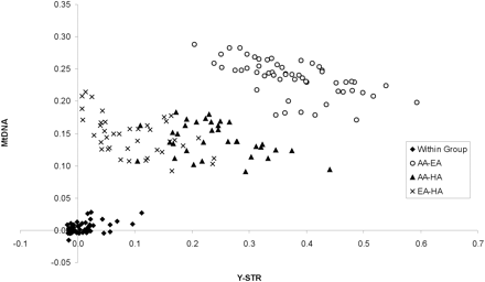
Plot of RST values for Y-STR haplotypes vs. FSTvalues for mtDNA SSO-types, for U.S. groups. (AA) African-American; (EA) European-American; (HA) Hispanic.
(Downloading may take up to 30 seconds. If the slide opens in your browser, select File -> Save As to save it.)
Click on image to view larger version.

Plot of RST values for Y-STR haplotypes vs. FSTvalues for mtDNA SSO-types, for U.S. groups. (AA) African-American; (EA) European-American; (HA) Hispanic.