
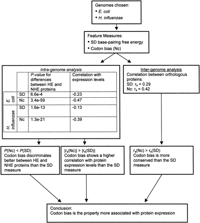
Figure 6
Determination of hierarchy of two different properties associated with translation. The results of the intra- and intergenome analyses for SD mRNA–16S rRNA base-pairing potential and codon bias are shown in steps that are described in the overview (Fig. 1).











