


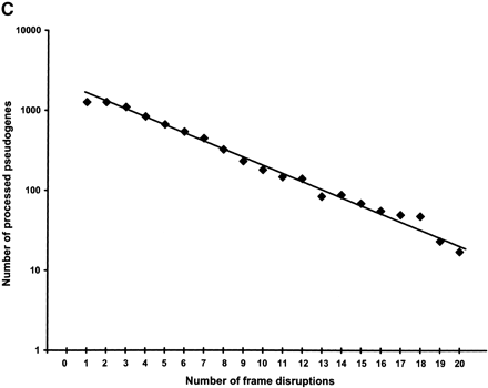
Overall statistics of human processed pseudogenes. (A) Sequence completeness among human processed pseudogenes. Sequence completeness is defined as the ratio between the length of the predicted protein sequence from the pseudogene and the length of the closest matching protein sequence from SWISS-PROT or TrEMBL. (B) Distribution of the nucleotide sequence identity between the processed pseudogenes and the corresponding functional genes (coding region only). (C) Distribution of the number of frame disruptions among processed pseudogenes. Pseudogenes that have the same number of frame disruptions were grouped together and the numbers of frame disruptions (X-axis) were plotted versus the size of the group (Y-axis). The Y-axis is a log scale.











